NCERT Solutions Class 11 Maths Chapter 8
NCERT Solutions for Class 11 Maths Chapter 8 Binomial Theorem - PDF Download
Be a master in Class 11 Mathematics with Class 11 NCERT solutions mathematics chapter 8 binomial theorem PDFs download
free of cost specially designed by Vidyakul’s expert teachers keeping in my students of all the calibre.
The main content covered in Chapter Binomial Theorem is as follows:
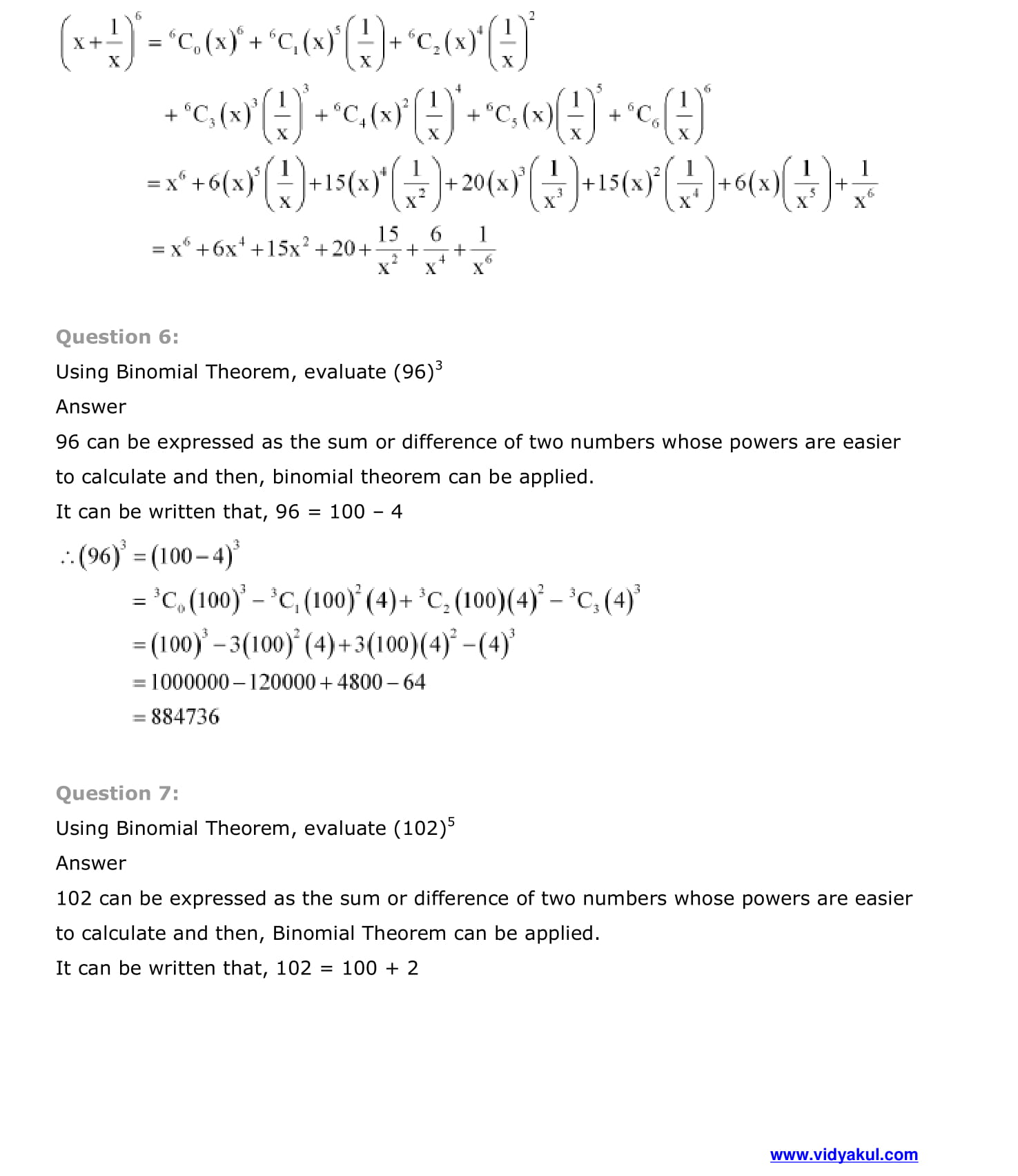
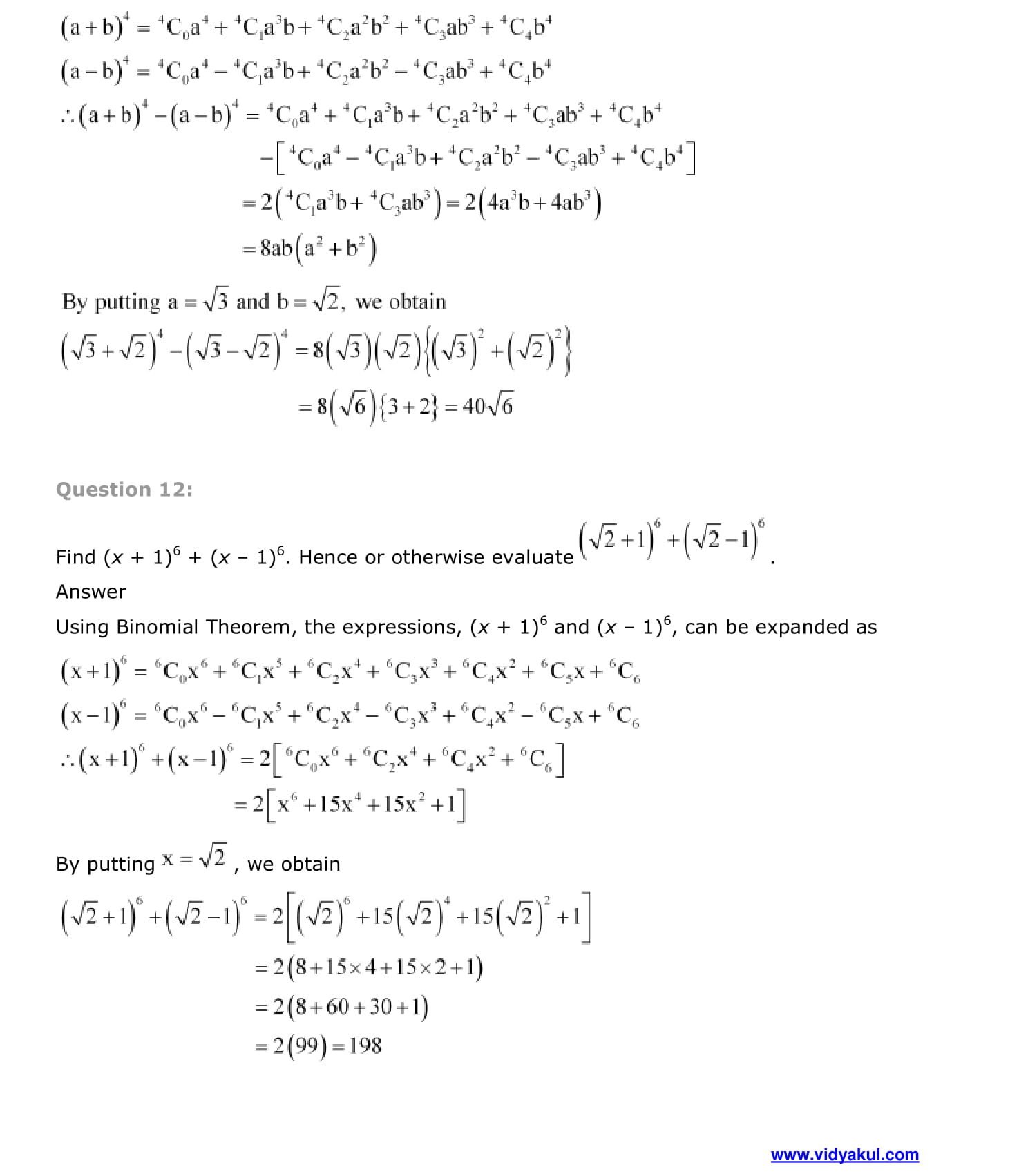
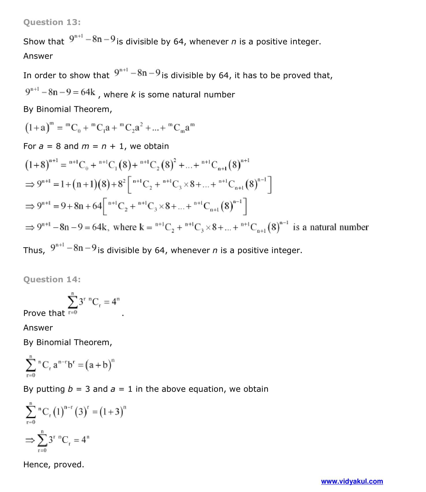
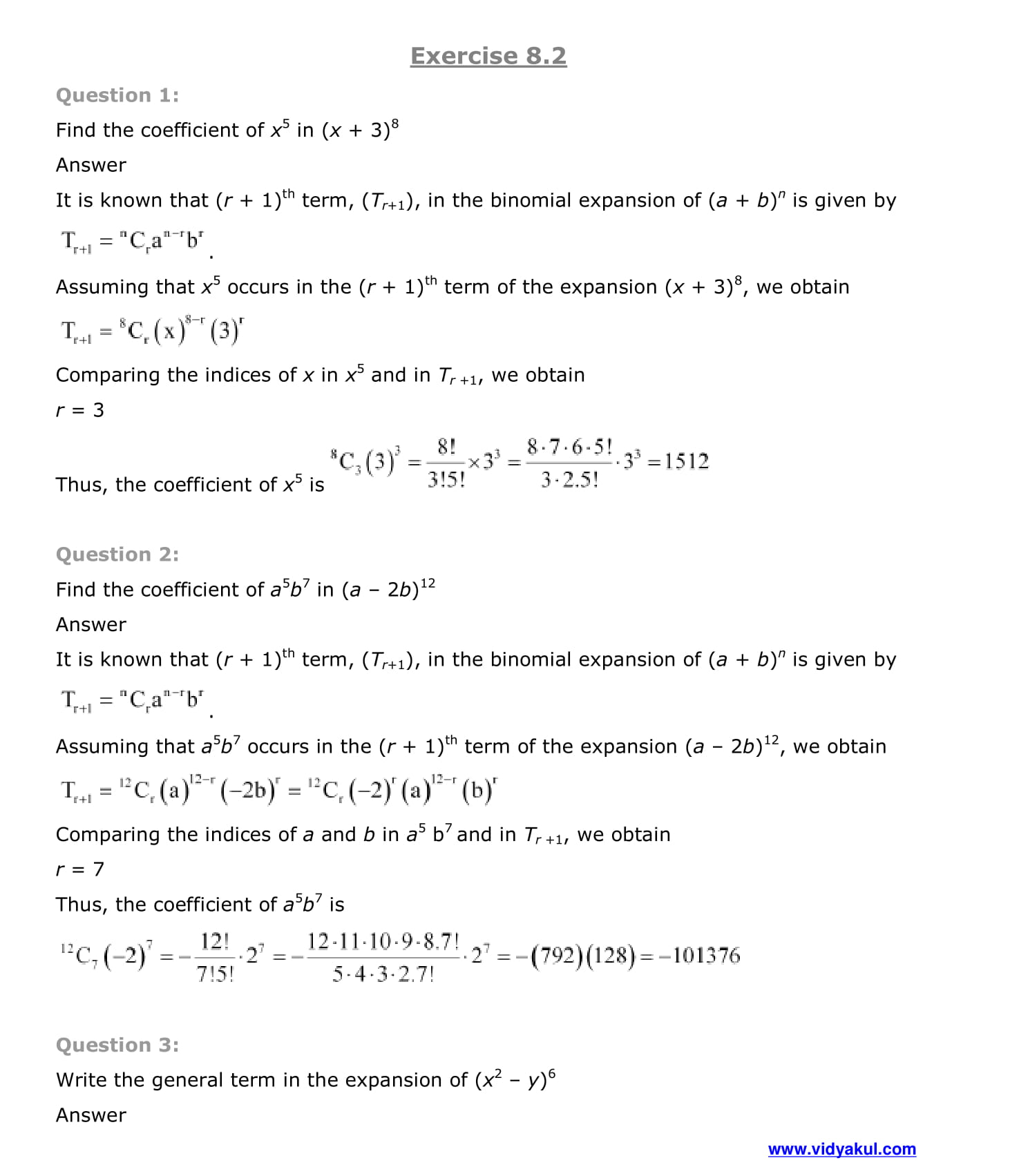
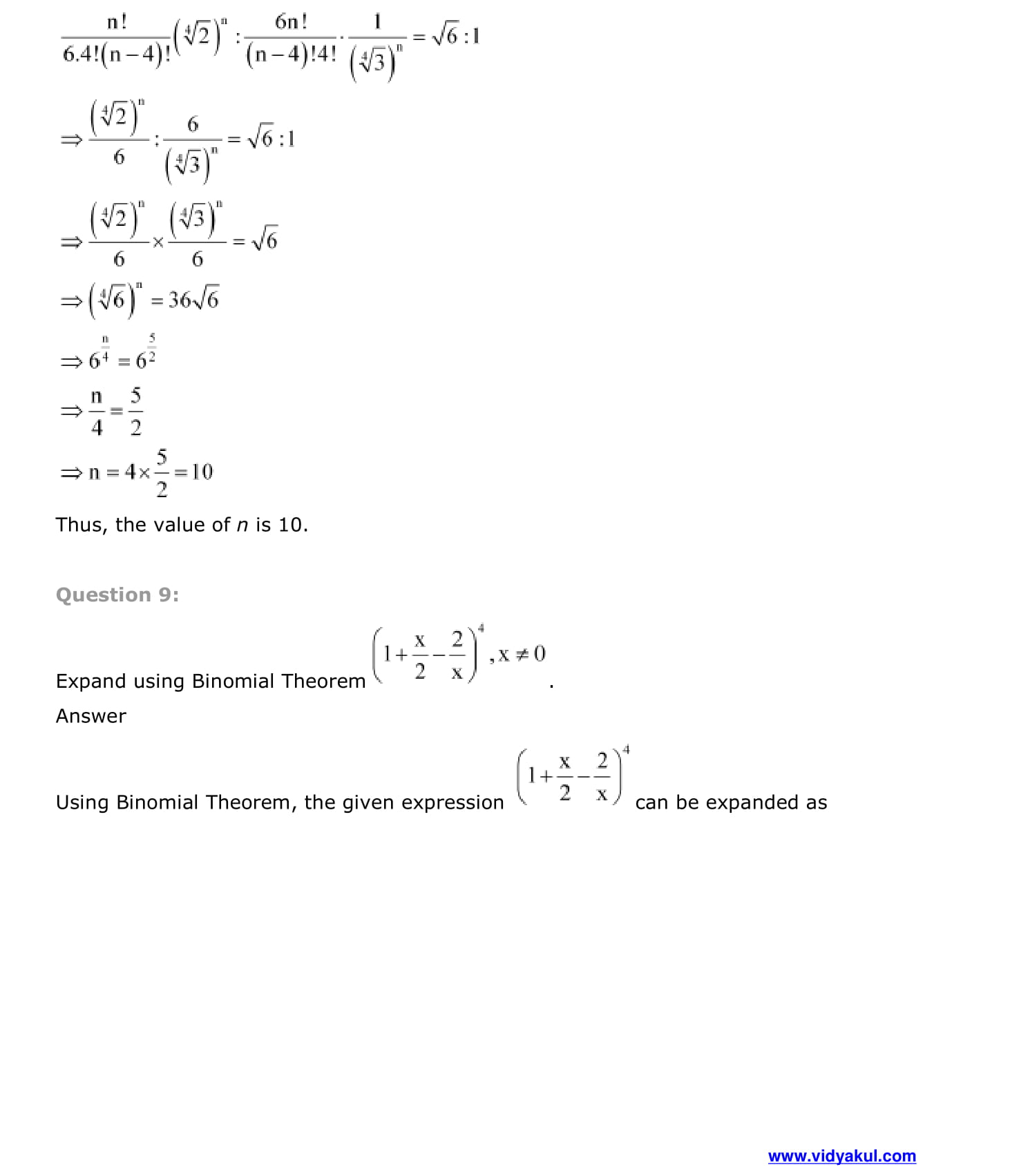
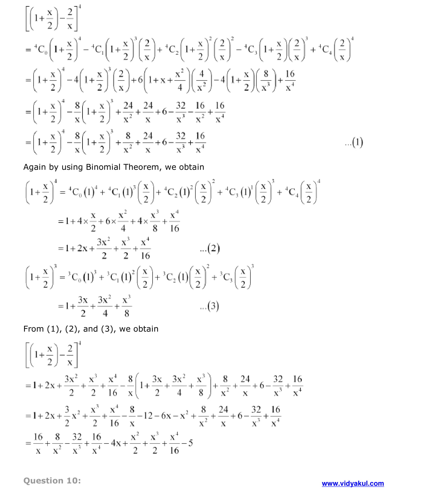
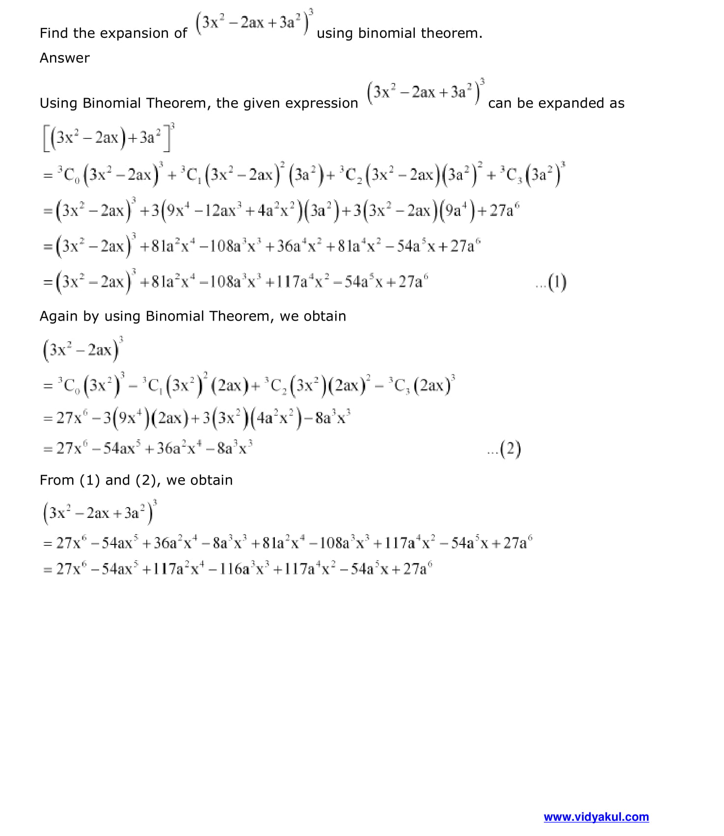
- Binomial theorem for Positive Integral Indices
- Binomial theorem for any positive integer
- Some special cases
- General and Middle terms
To study Chapter 7 Permutations and Combinations in detail download free PDFs
From the link given below:
Download this solution for FREE Download this PDF
























