NCERT Solutions Class 11 Maths Chapter 11
NCERT Solutions for Class 11 Maths Chapter 11 Conic Sections - Free PDF Download
Mathematics requires lots of practise to achieve brilliance, to make it convenient Vidyakul brings CLASS 11 NCERT SOLUTIONS MATHEMATICS CHAPTER 11 CONIC SECTIONS PDFs DOWNLOAD. All the exercises are solved with explanations by our expert teachers in mathematics.
The major topics of the Chapter 11 Conic Sections include:
- Introduction
- Sections of a Cone
- Circle, ellipse, parabola and hyperbola
- Degenerated conic sections
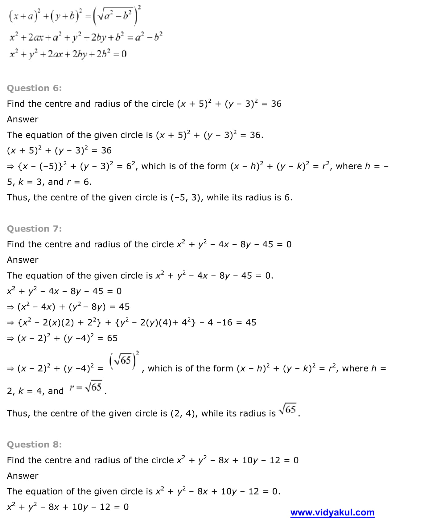
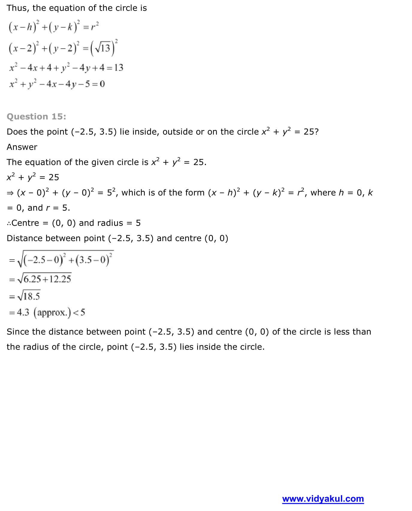
- Circle
- Parabola
- Standard equations of parabola
- Latus rectum
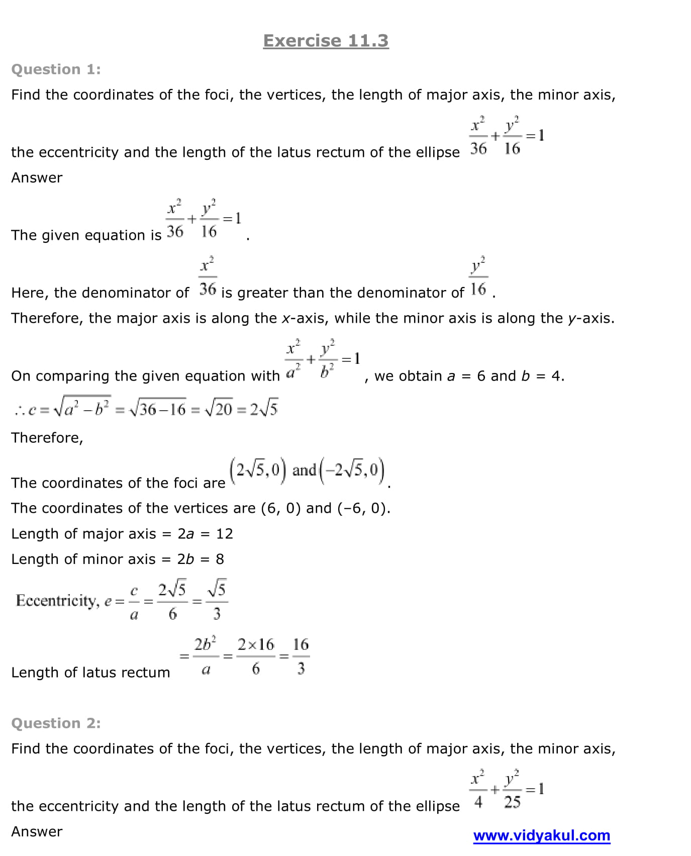
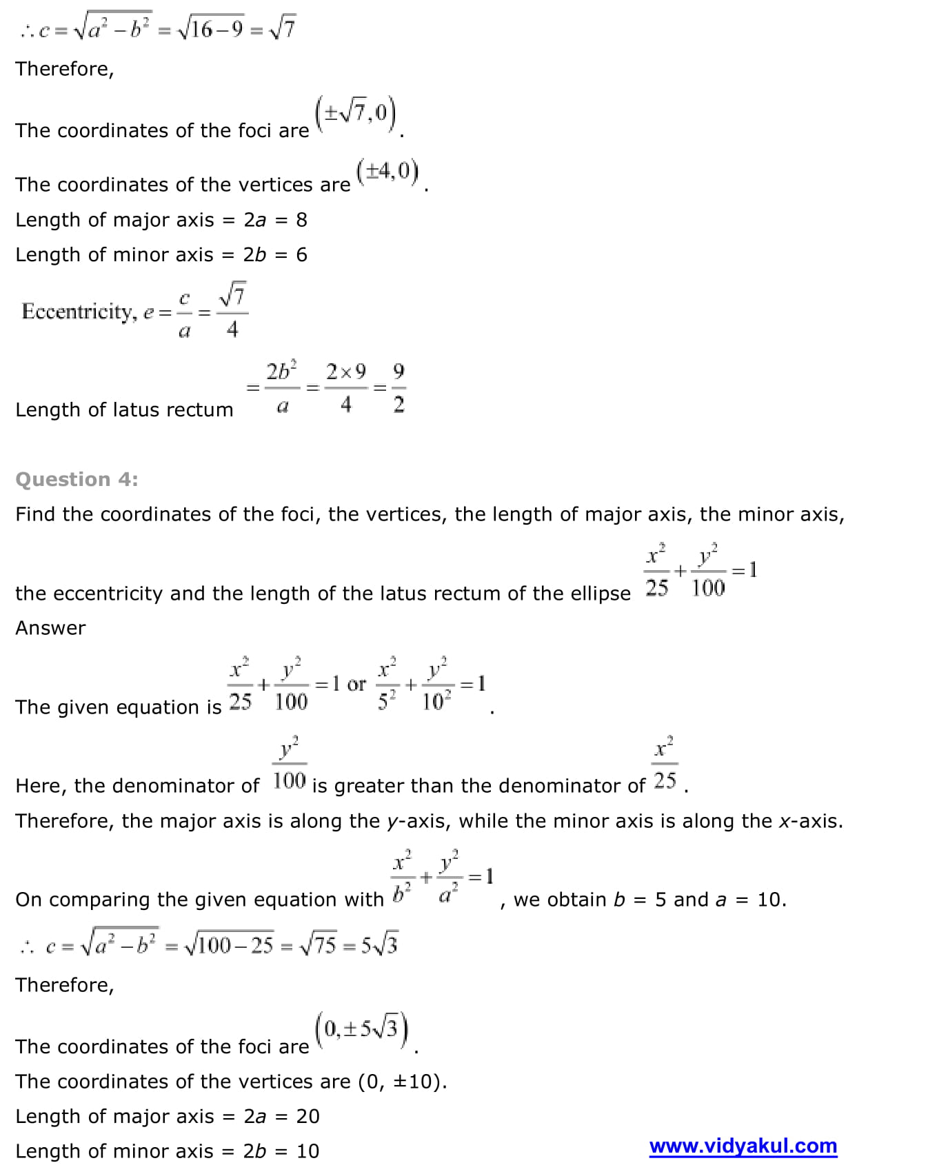
- Ellipse
- Relationship between semi-major axis, semi-minor axis and the distance of
- The focus from the centre of the ellipse
- Special cases of an ellipse
- Eccentricity
- Standard equations of an ellipse
- Latus rectum
- Hyperbola
- Eccentricity
- Standard equation of Hyperbola
- Latus rectum.
To study in detail download the free of cost PDFs of Class 11 Chapter 11 Conic Section.
Download this solution for FREE Download this PDF
















































