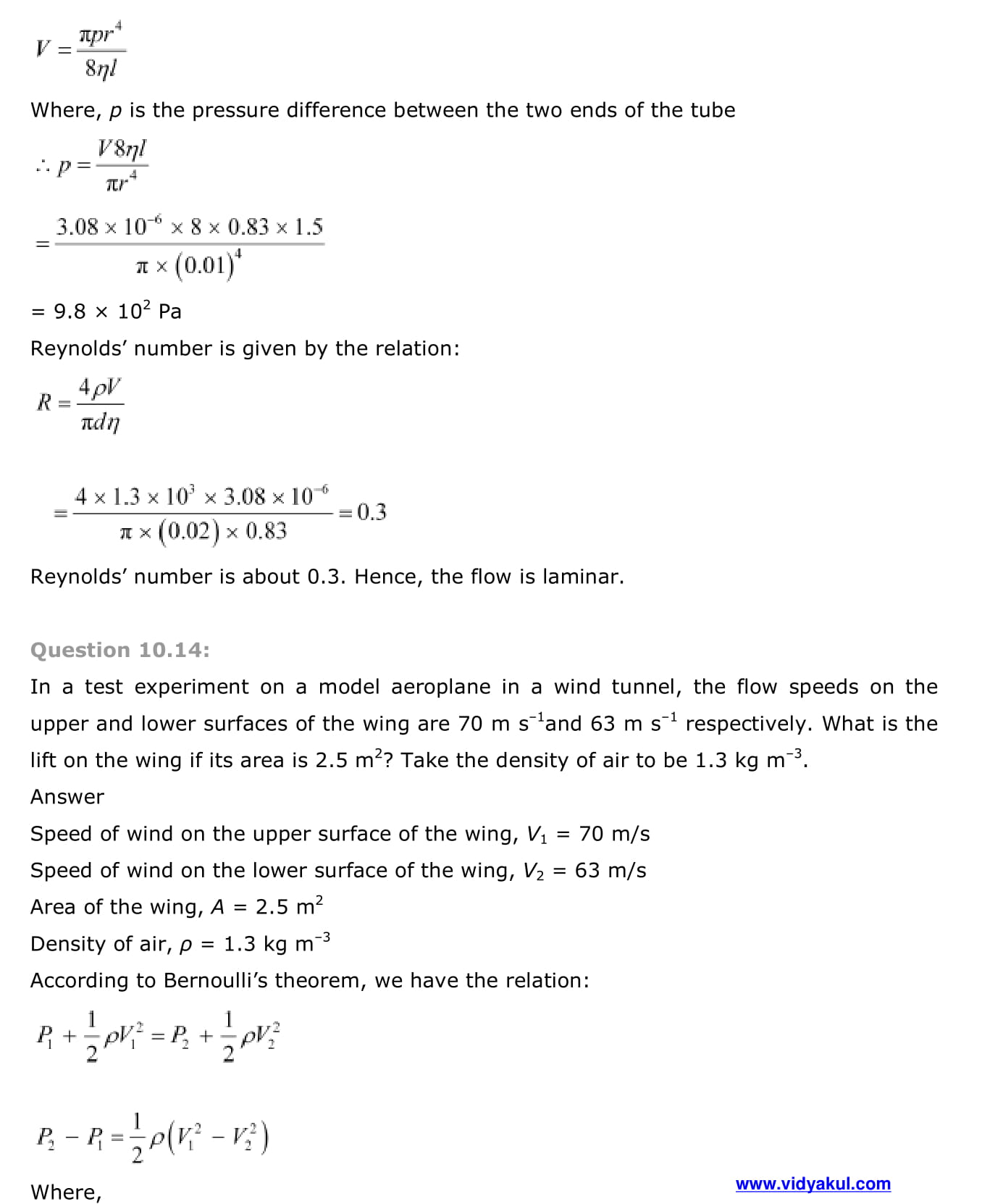
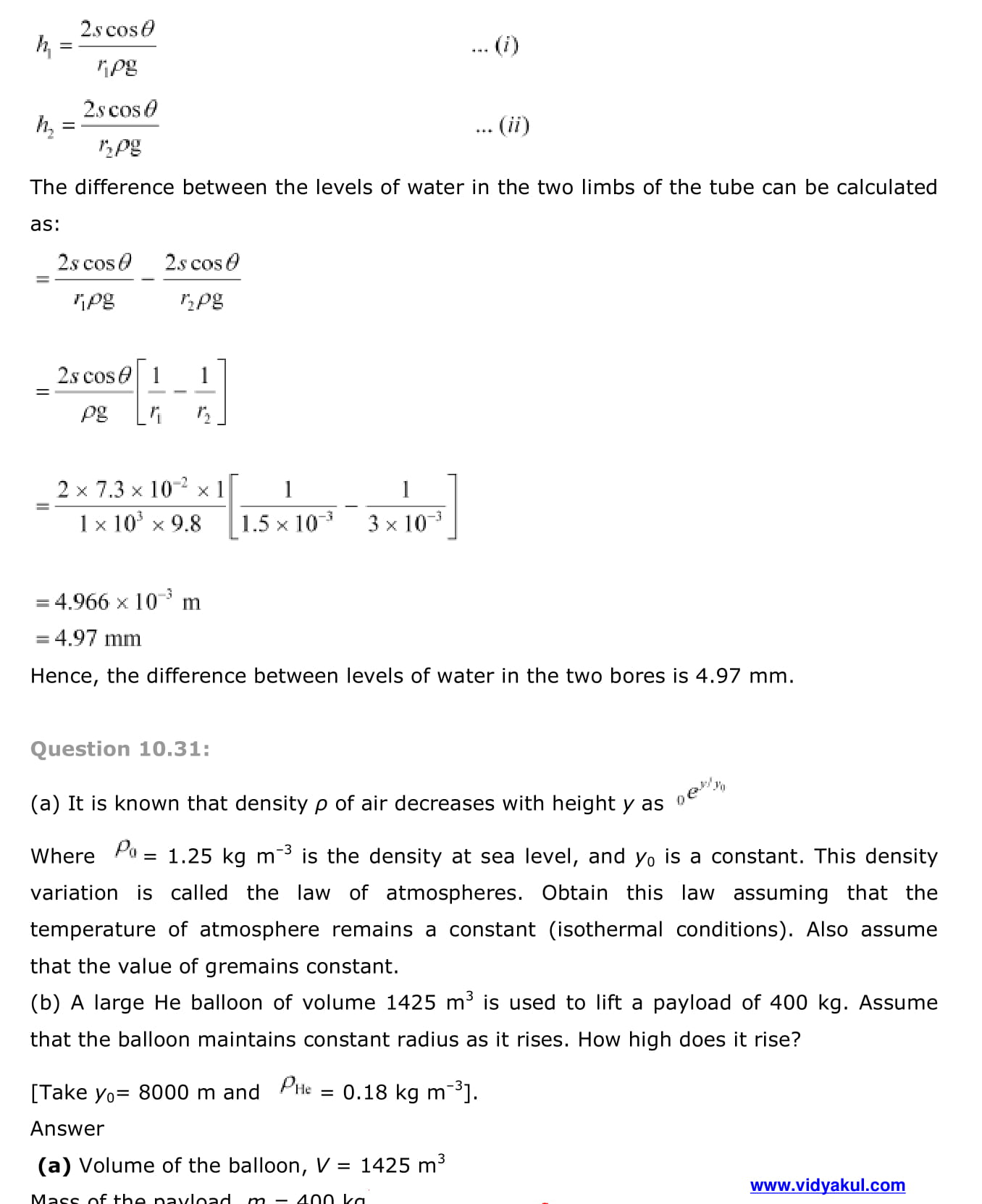
NCERT Solutions Class 11 Physics Chapter 10
NCERT Solutions for Class 11 Physics Chapter 10 Mechanical Properties of Fluids - PDF Download
Be on the top of your study schedule with Class 11 NCERT Physics Solution Chapter 10 Mechanical Properties of Fluids by Vidyakul. All the solutions to the exercises in Class 11 NCERT are formulated by the experienced teachers at Vidyakul.
The topics covered by NCERT Solutions Class 11 Physics Chapter 10 Mechanical Properties of Fluids include Streamline flow, Bernoulli’s principle, Viscosity, Reynolds number, Surface tension.
Follow the link given below to download the PDF free of cost.
Download this solution for FREE Download this PDF




























