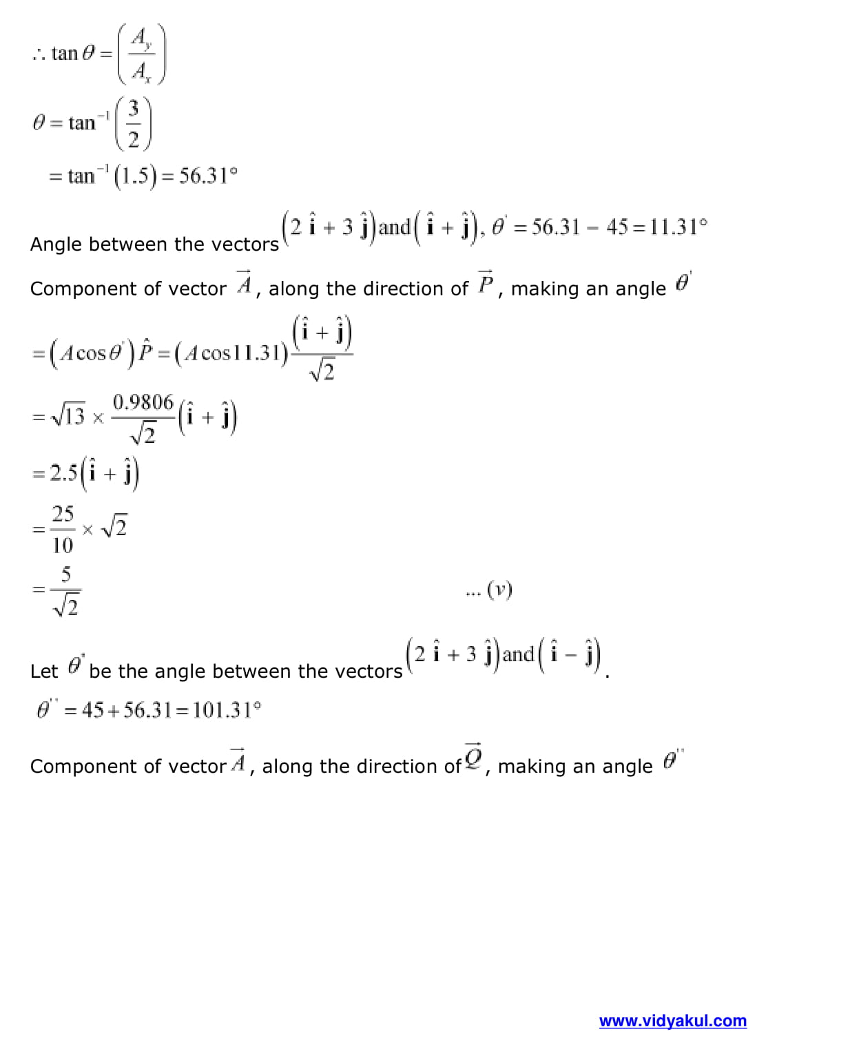
Class 11th Physics Motion in A Plane NCERT Solution CBSE 2023
Launch Your Course Log in Sign up
Menu
Classes
Competitive Exam
Class Notes
Graduate Courses
Job Preparation
IIT-JEE/NEET
CUET
Defence
TET
vidyakul X
Menu

NCERT Solutions Class 11 Physics Chapter 4

NCERT Solutions for Class 11 Physics Chapter 4 Motion in A Plane - PDF Download

Improve your Class 11 scores with the help of NCERT Solutions for Class 11 Chapters- 4 Motion in A Plane. It is important to find accurate solutions and methods to be followed while solving questions.

Motions in a plane are in two dimensions. Two axes are taken into consideration generally X-axis and Y-axis. The major topics covered under Chapter Motion in Plane are Scalars & Vectors, Multiplication of vectors by real numbers, Resolution of Vectors, Vector addition – analytical method, Relative velocity in two dimensions, Projectile motion and Uniform circular motion.

To have a more clearer understanding download the NCERT SolutionsFor Class 11 Chapters- 4 Motion in A Plane PDFs free of cost.

Download this solution for FREE Download this PDF