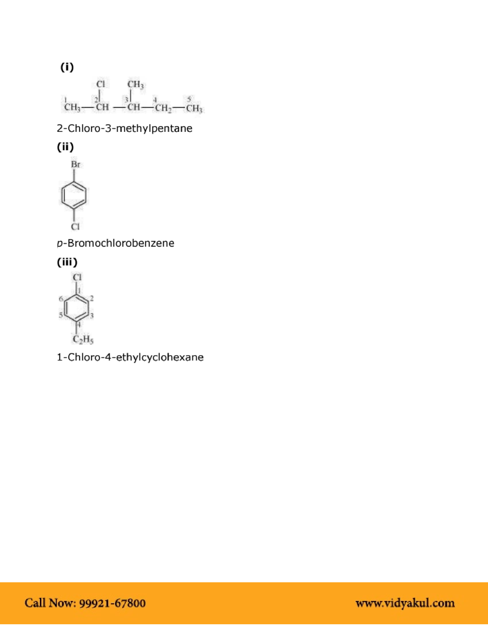
NCERT Solution Class 12 Chemistry Chapter 10
NCERT Solution Class 12 Chemistry Chapter 10 Haloalkanes and Haloarenes– PDF Download
Vidyakul brings to you PDF, downloadable version of NCERT Solution Class 12 Chemistry Chapter 10 Haloalkanes and Haloarenes solved by our panel of experienced teachers as per NCERT (CBSE) book guidelines. All Haloalkanes and Haloarenes exercise questions, notes with solutions will help you to revise
Download this solution for FREE Download This PDF




























