NCERT Solutions Class 11 Chemistry Chapter 12
NCERT Solutions for Class 11 Chemistry Chapter 12 Organic Chemistry Elements - PDF Download
Grow your grip stronger on Chemistry with Vidyakul’s NCERT Solutions for Class 11 Chemistry Chapter 12 Organic Chemistry. The solutions are provided for each and every question given in Class 11 Chemistry NCERT. Get the most updated information in accordance with the latest CBSE guidelines.
- GENERAL INTRODUCTION
- TETRAVALENCE OF CARBON: SHAPES OF ORGANIC COMPOUNDS
- STRUCTURAL REPRESENTATIONS OF ORGANIC COMPOUNDS
- Complete, Condensed and Bond-line Structural Formulas
- Three-Dimensional Representation of Organic Molecules
- CLASSIFICATION OF ORGANIC COMPOUNDS
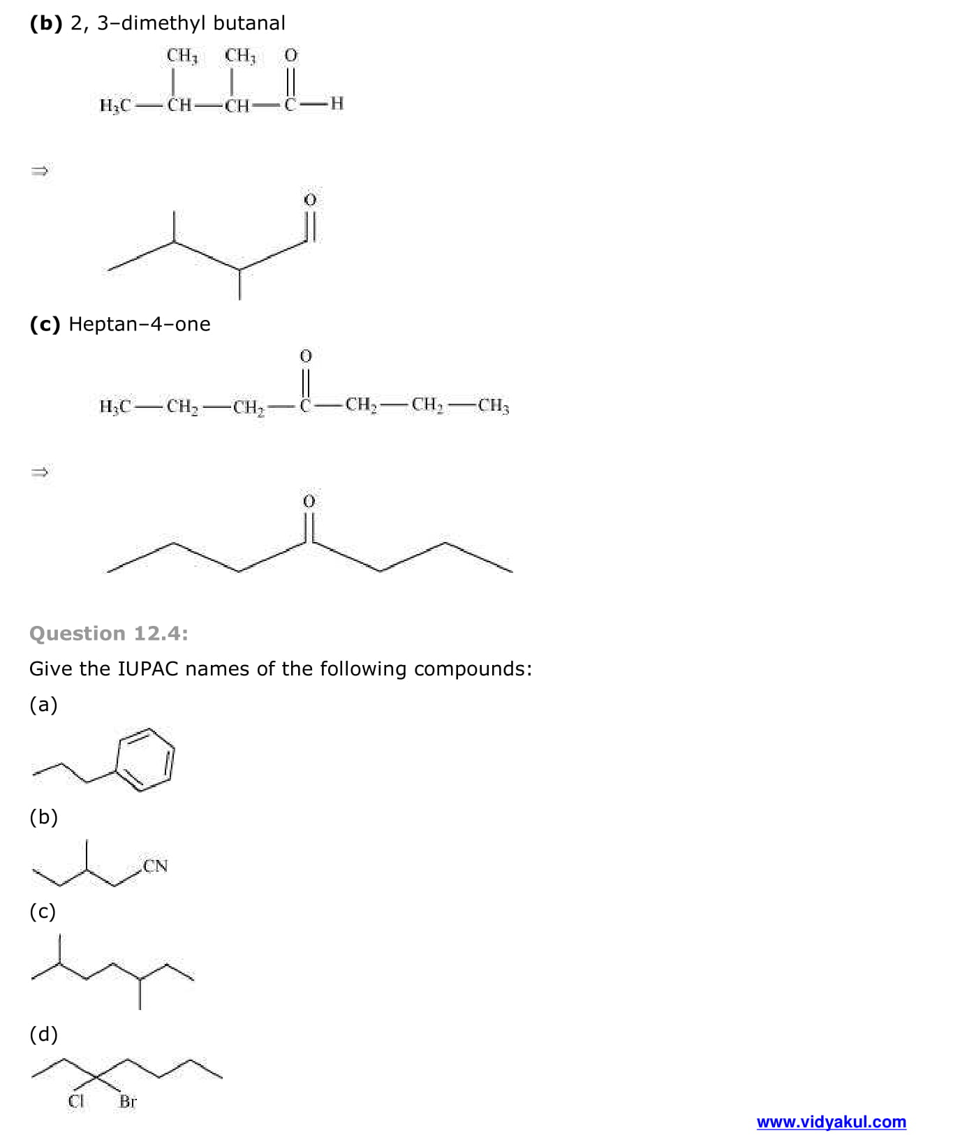
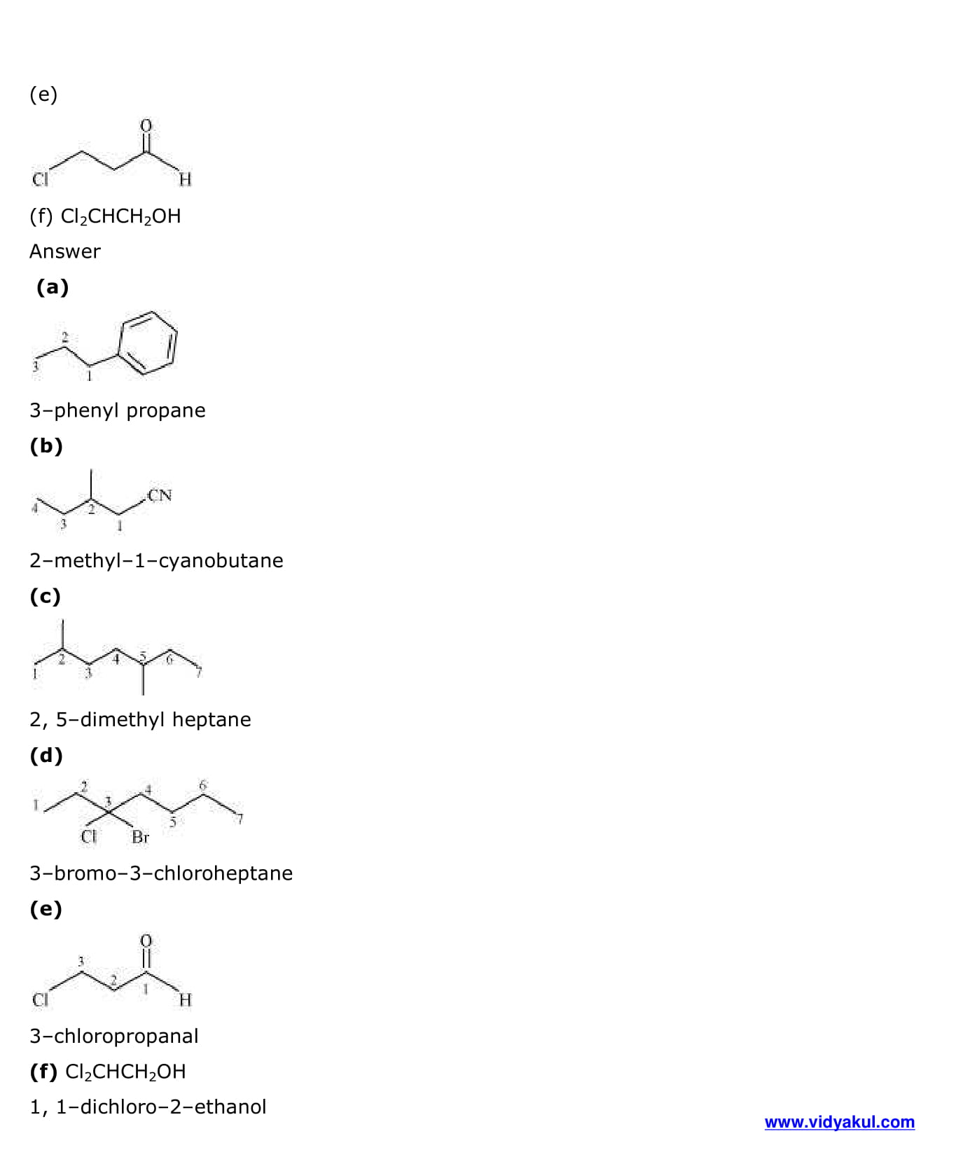
- NOMENCLATURE OF ORGANIC COMPOUNDS
- The IUPAC System of Nomenclature
- IUPAC Nomenclature of Alkanes
- Nomenclature of Organic Compounds having Functional Group(s)
- Nomenclature of Substituted Benzene Compounds
- ISOMERISM
- Structural Isomerism
- Stereoisomerism
- FUNDAMENTAL CONCEPTS IN ORGANIC REACTION MECHANISM
- Fission of a Covalent Bond
- Nucleophiles and Electrophiles
- Electron Movement in Organic Reactions
- Electron Displacement Effects in Covalent Bonds
- Inductive Effect
- Resonance Structure
- Resonance Effect
- Electromeric Effect (E effect)
- Hyperconjugation
- Types of Organic Reactions and Mechanisms
- METHODS OF PURIFICATION OF ORGANIC COMPOUNDS
- Sublimation
- Crystallisation
- Distillation
- Differential Extraction
- Chromatography
- QUALITATIVE ANALYSIS OF ORGANIC COMPOUNDS
- Detection of Carbon and Hydrogen
- Detection of Other Elements
- QUANTITATIVE ANALYSIS
- Carbon and Hydrogen
- Nitrogen
- Halogens
- Sulphur
- Phosphorus
- Oxygen
To download the PDFs for free click the link given below
Download this solution for FREE Download this PDF

































