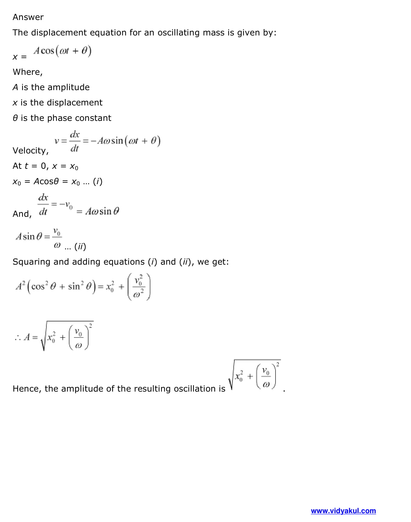
NCERT Solutions Class 11 Physics Chapter 14
NCERT Solutions for Class 11 Physics Chapter 14 Oscillations - PDF Download
Study Class 11 Physics Chapter Oscillation with Vidyakul’s free PDFs download of NCERT Solutions Class 11 Physics Chapter 14 Oscillations. Learn and understand various methods to solve the exercise.
The major topics covered in Chapter 1 4 Oscillations are Periodic and oscillatory motions, simple harmonic motion, uniform circular motion velocity and acceleration in simple harmonic motion, force law for simple harmonic motion, energy in simple harmonic motion, some systems executing SHM, damped simple harmonic motion, forced oscillations.
For understanding completely download the links given below-
Download this solution for FREE Download this PDF
































