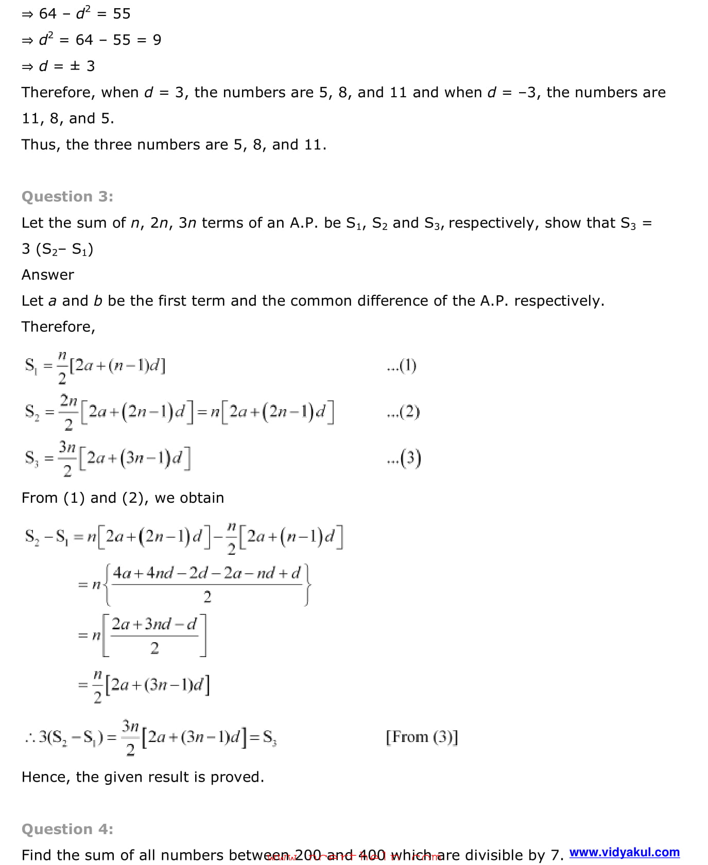
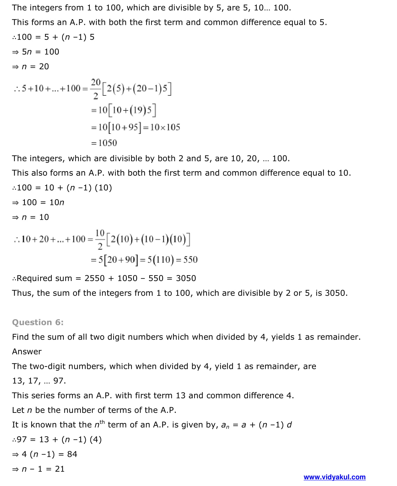
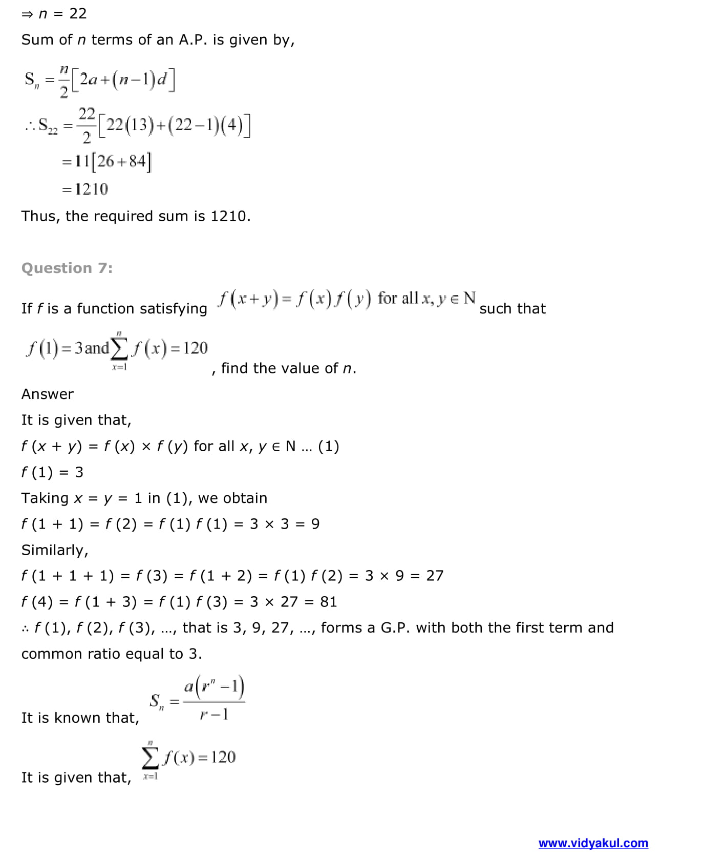
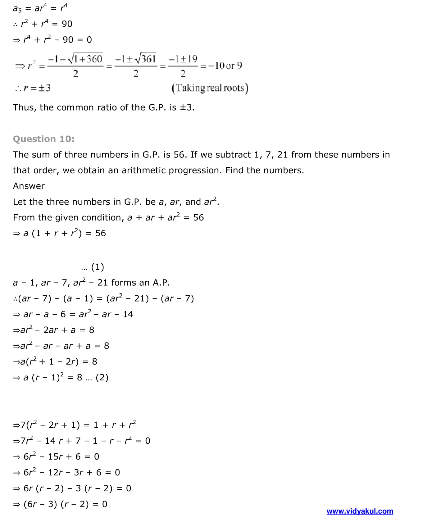
NCERT Solutions Class 11 Maths Chapter 9
NCERT Solutions for Class 11 Maths Chapter 9 Sequences and Series - PDF Download
Get mentors from all across the country with Vidyakul who have designed NCERT Solutions Class 11 Maths Chapter 9 Sequences and Series PDF Download free of cost.
The contents of chapter 9 Sequences and series are as follows:
- Sequences
- Series
- Arithmetic Progression
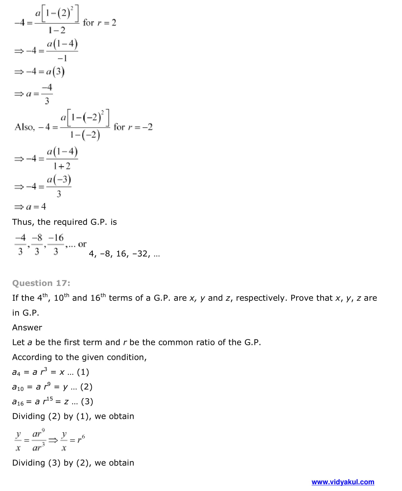
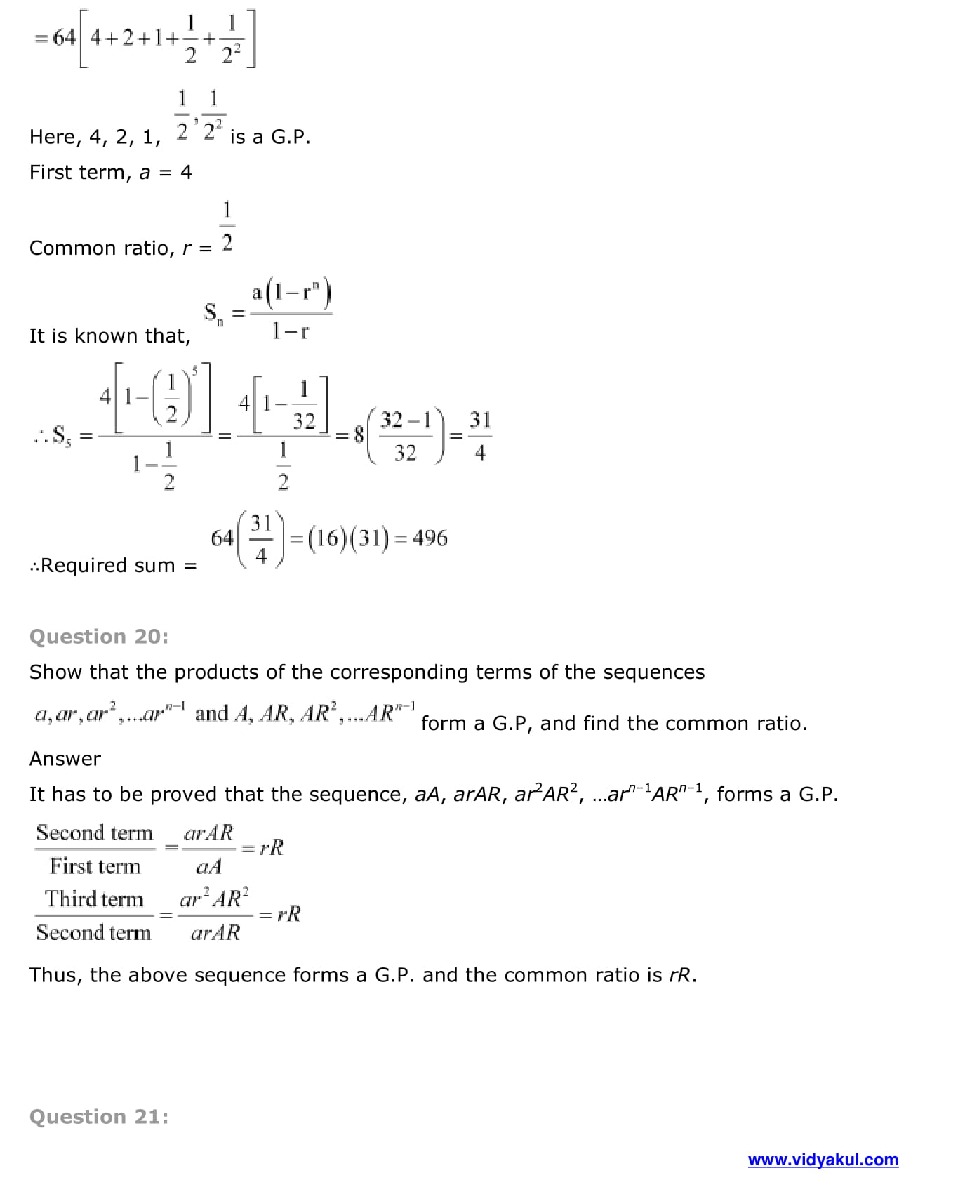
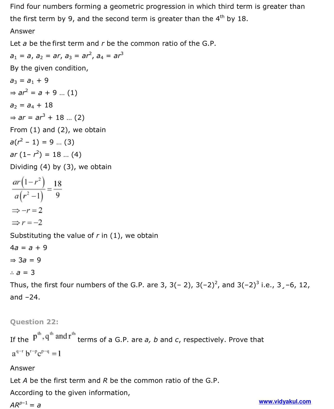
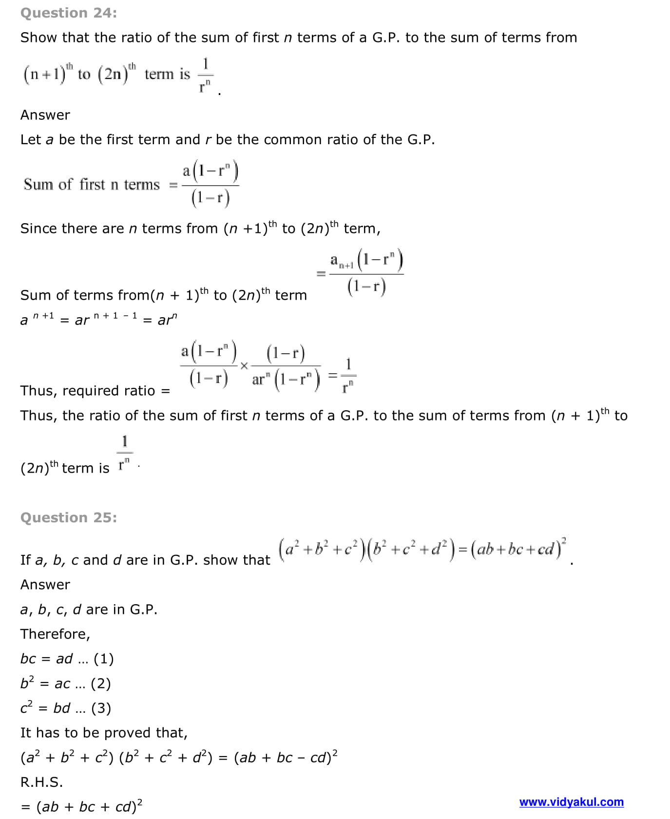
- Geometric Progression
- General term of a G.P.
- Geometric Mean
- Relationship between A.M. and G.M.
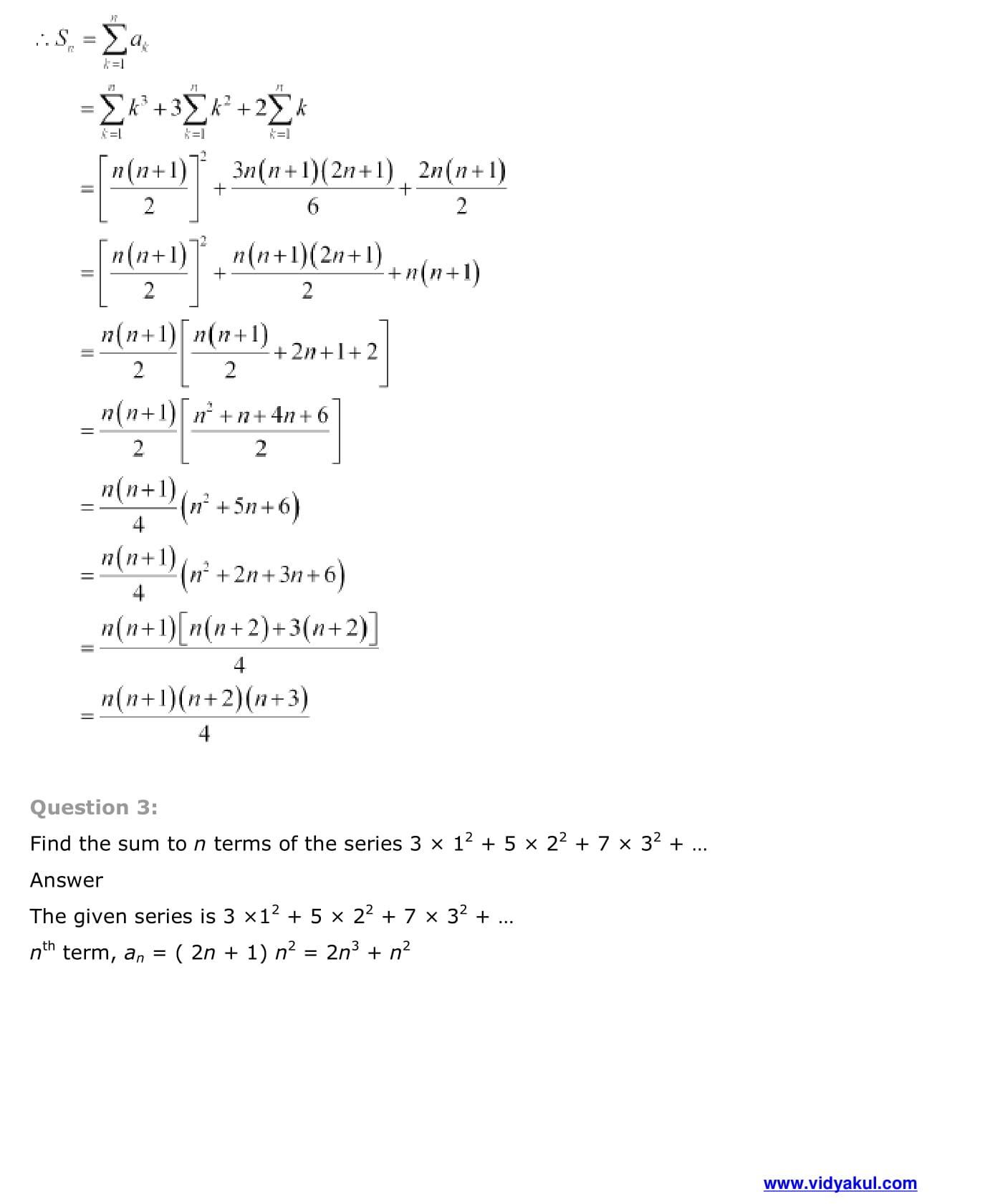
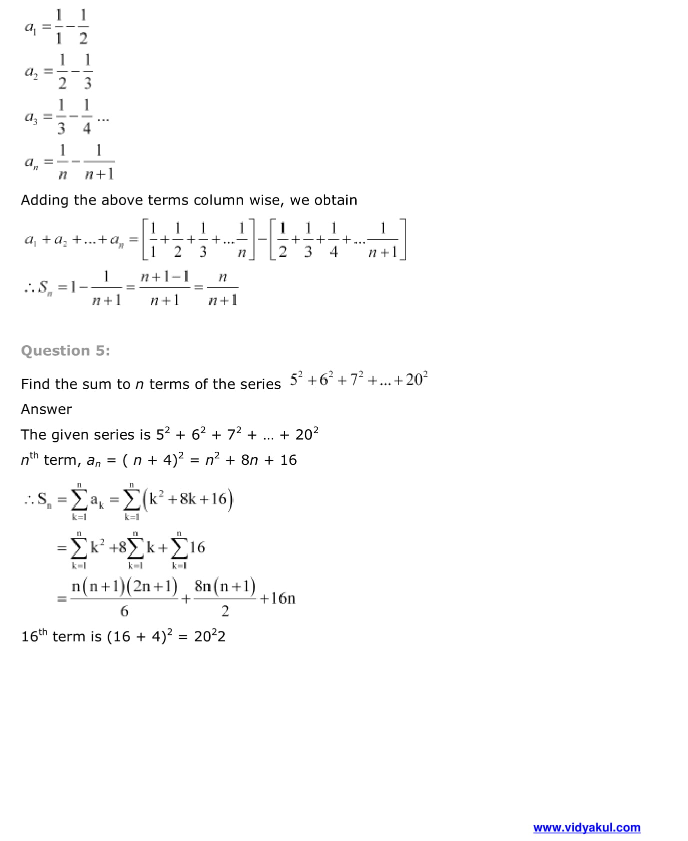
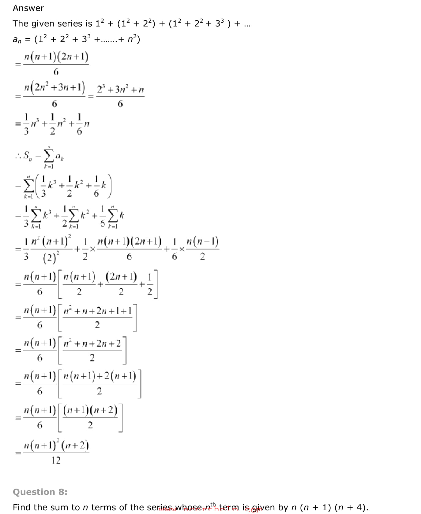
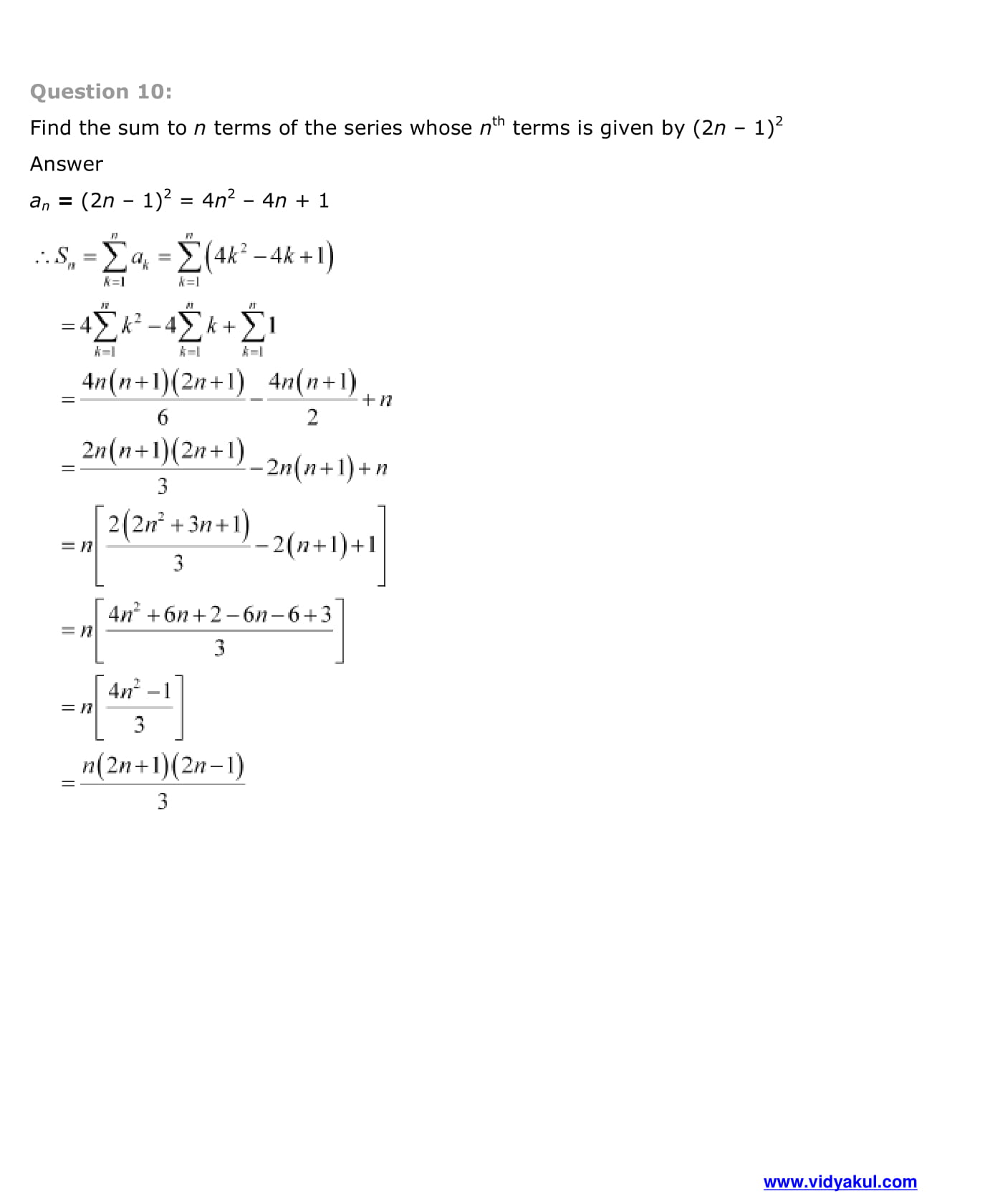
- Sum to n Terms of Special Series
Follow the link given below to download the PDF free of cost.
Download this solution for FREE Download this PDF















































































