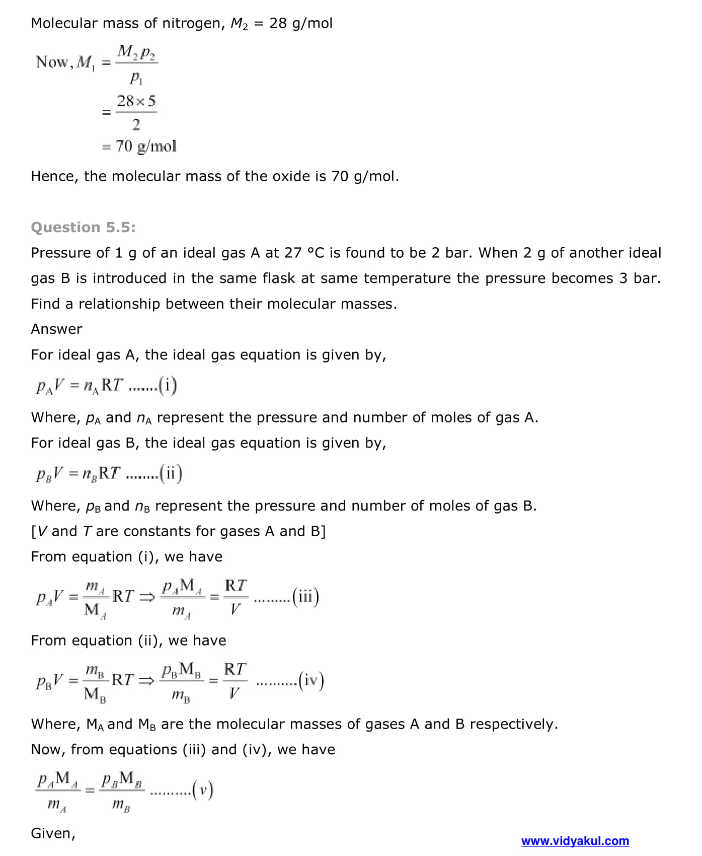
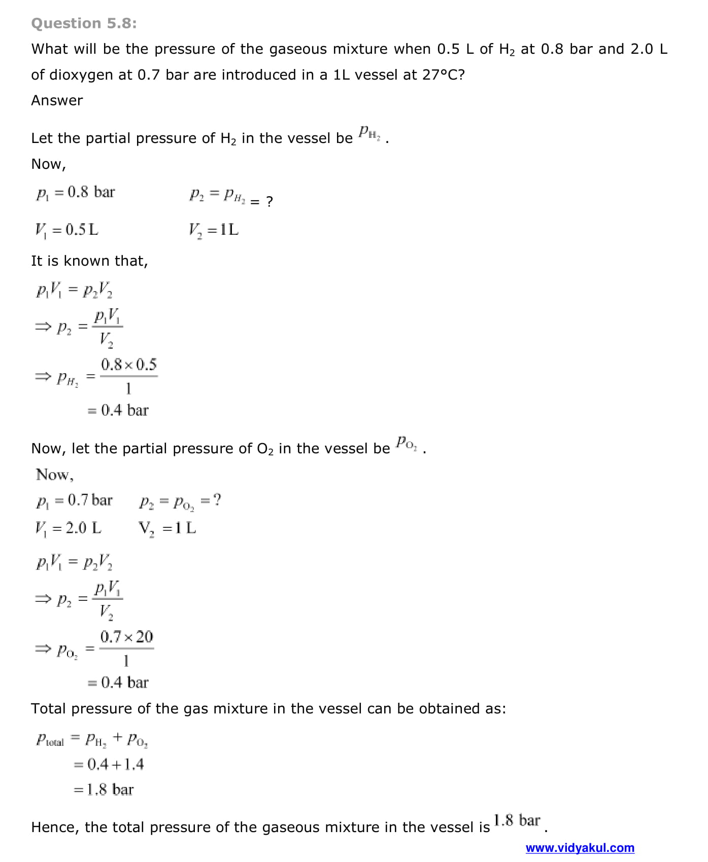
NCERT Solutions Class 11 Chemistry Chapter 5
NCERT Solutions for Class 11 Chemistry Chapter 5 States of Matter - PDF Download
Vidyakul brings CLASS 11 Chemistry NCERT Solutions Chapter 5 States of Matter for improved performance in the Class 11 examinations as well as competitive exams as class 11 Chemistry forms the basic syllabus for them as well.
The major sub-topics covered in the Chapter 5 States of Matter are as follows:
- Intermolecular forces
- Dispersion forces or
london forces Dipole - dipole forcesDipole–induced dipole forces- Hydrogen bond
- Thermal energy
- Intermolecular forces vs thermal interactions
- The gaseous state
- The gas laws
- Boyle’s law (
pressure - volume relationship) - Charles’ law (temperature - volume relationship)
- Gay
lussac’s law (pressure- temperature relationship) - Avogadro law (volume - amount relationship)
- Ideal gas equation
- density and molar mass of a gaseous substance
- Dalton’s law of partial pressures
- Kinetic molecular theory of gases
- Behaviour of real gases: deviation from ideal gas behaviour
Liquifaction of gases- Liquid state
- Vapour pressure
- Surface tension
- Viscosity.
Follow the link given below to download the PDF free of cost.
Download this solution for FREE Download this PDF
















