NCERT Solutions Class 11 Maths Chapter 10
NCERT Solutions for Class 11 Maths Chapter 10 Straight Lines - Free PDF Download
Be a genius in Mathematics with Vidyakul’s NCERT SOLUTIONS FOR CLASS 11 CHAPTER 10 STRAIGHT LINES PDF DOWNLOADS.
The main contents of the Chapter 10 Straight Lines are follows:
- Slope of a Line
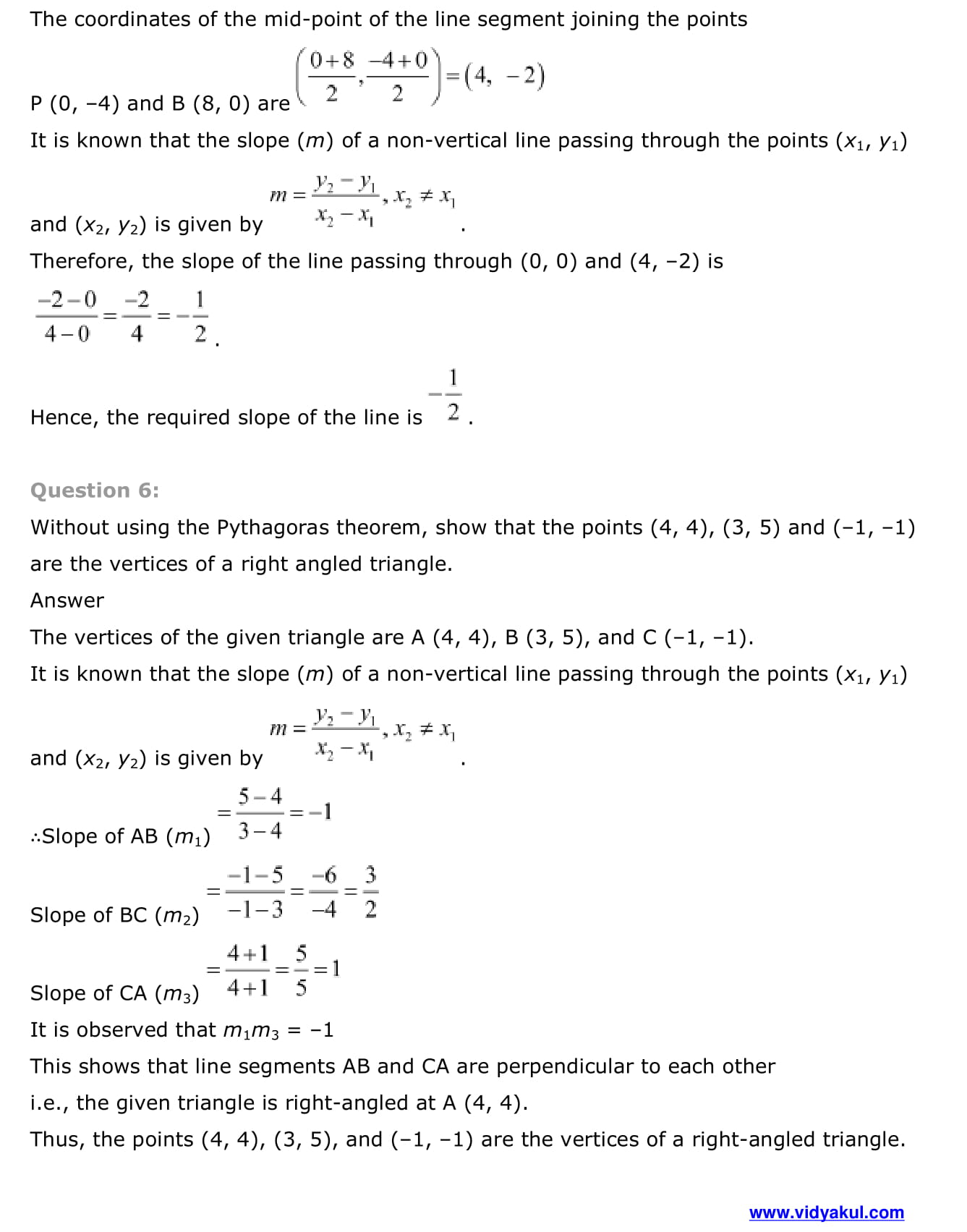
- Slope of a line when coordinates of any two points on the line are given
- Conditions for parallelism and perpendicularity of lines in terms of their slopes
- Angle between two lines
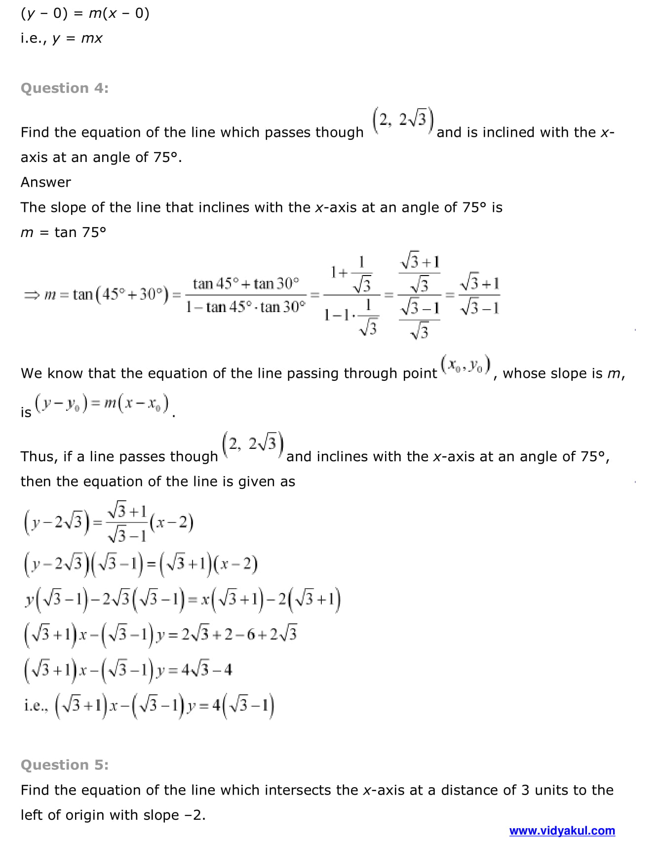
- Collinearity of three points
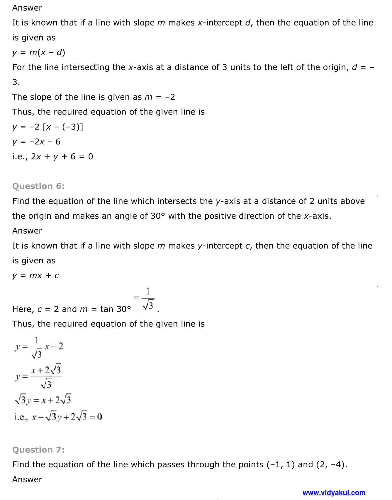
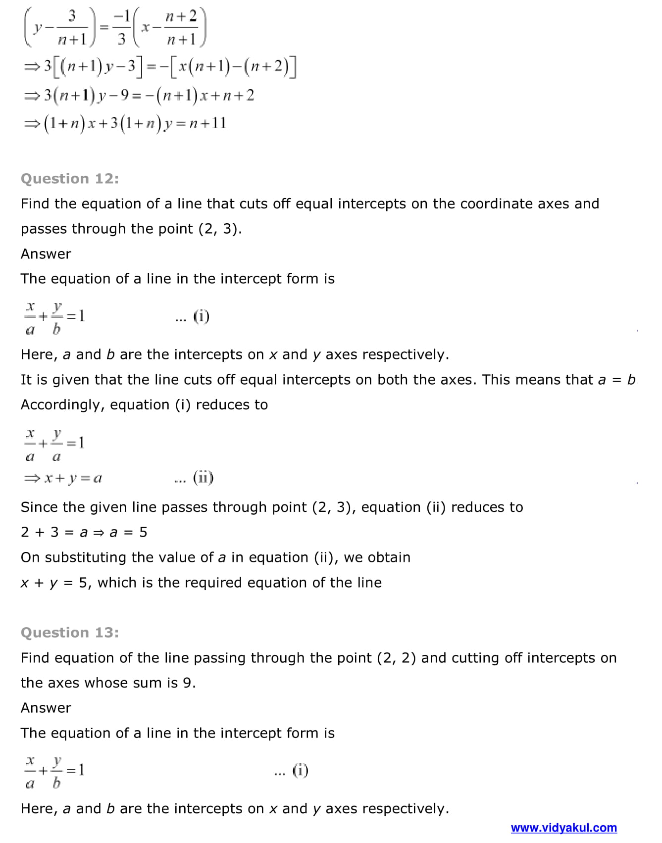
- Various Forms of the Equation of a Line
- Horizontal and vertical lines
- Point-slope form
- Two-point form
- Slope-intercept form
- Intercept - form
- Normal form
- General Equation of a Line
- Different forms of Ax + By + C = 0
- Distance of a Point from a Line
- Distance between two parallel lines.
Click on the link given below to download PDF s of Chapter 10 Straight Lines free of cost.
Download this solution for FREE Download this PDF



































































