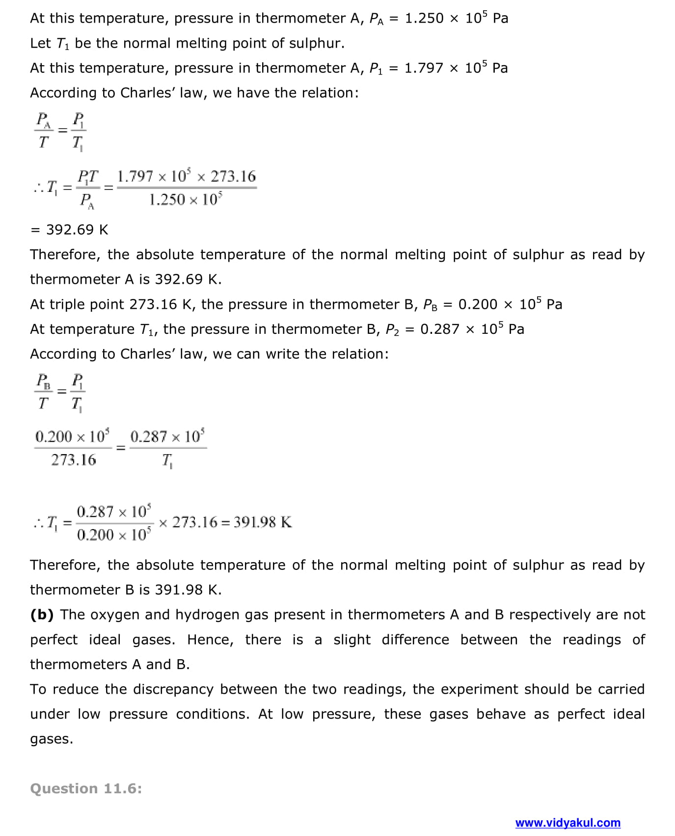
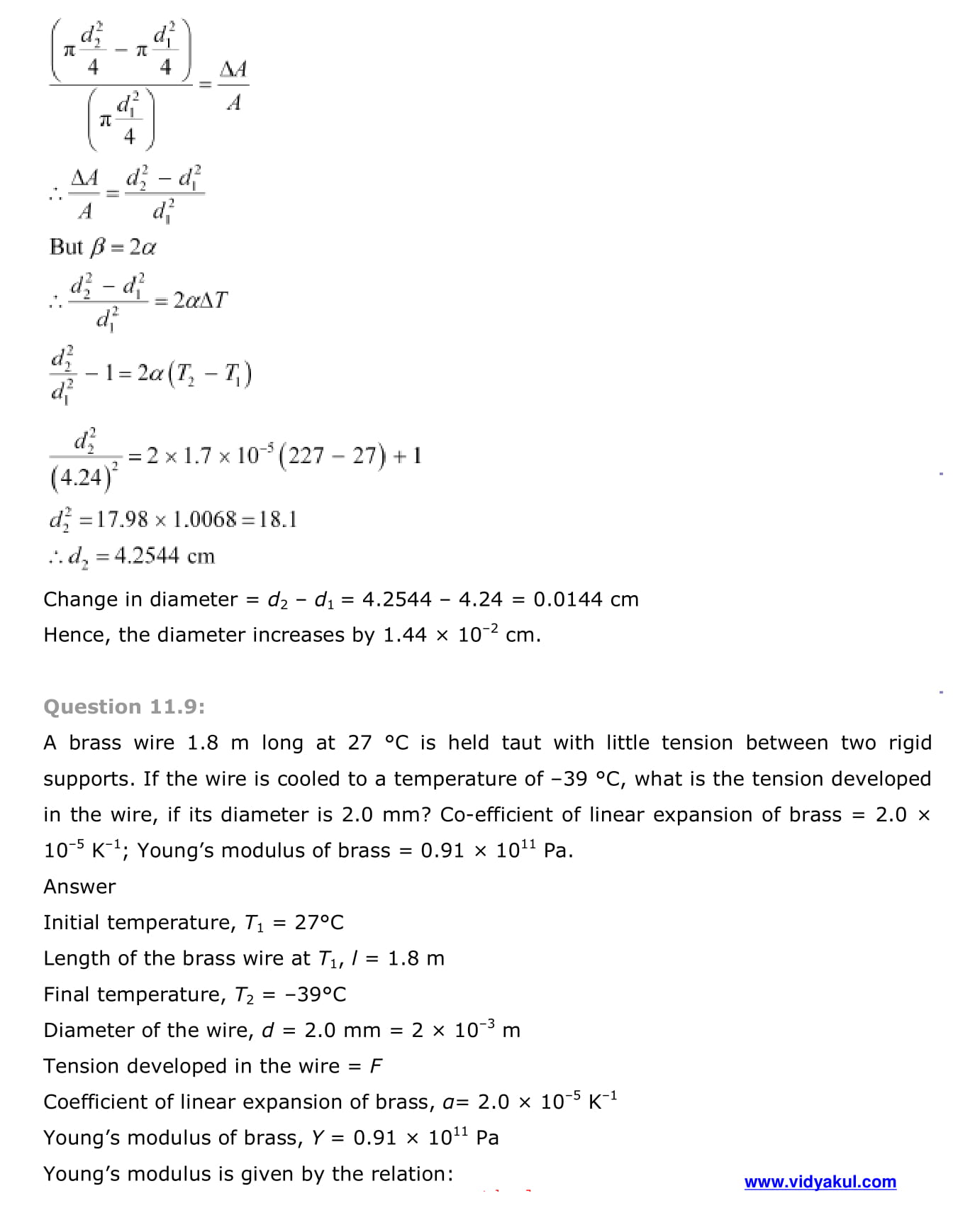
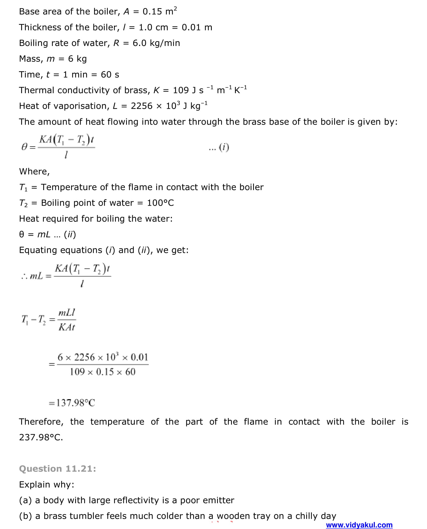
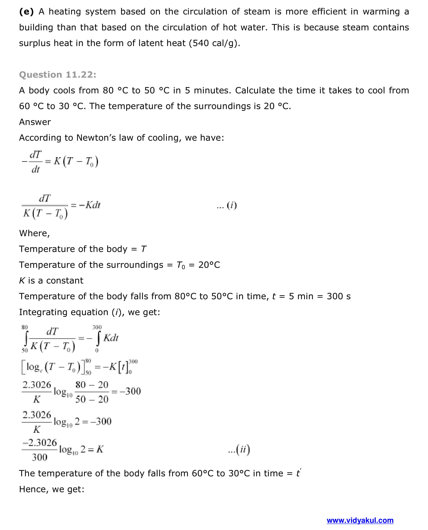
NCERT Solutions Class 11 Physics Chapter 11
NCERT Solutions for Class 11 Physics Chapter 11 - PDF Download
With the enormous pressure to perform well in every subject, sometimes we tend to lag behind hence to get back in the race NCERT Solutions for Class 11 Physics Chapter 11 Thermal Properties of Matter will be very helpful.
Chapter 11 Thermal Properties of Matter consist of following sub-topics – Temperature and heat, measurement of temperature, Ideal-gas equation, and absolute temperature, thermal expansion, specific heat capacity, calorimetry, change of state, heat transfer, Newton’s law of cooling.
Follow the link given below to download the PDF free of cost.
Download this solution for FREE Download this PDF























