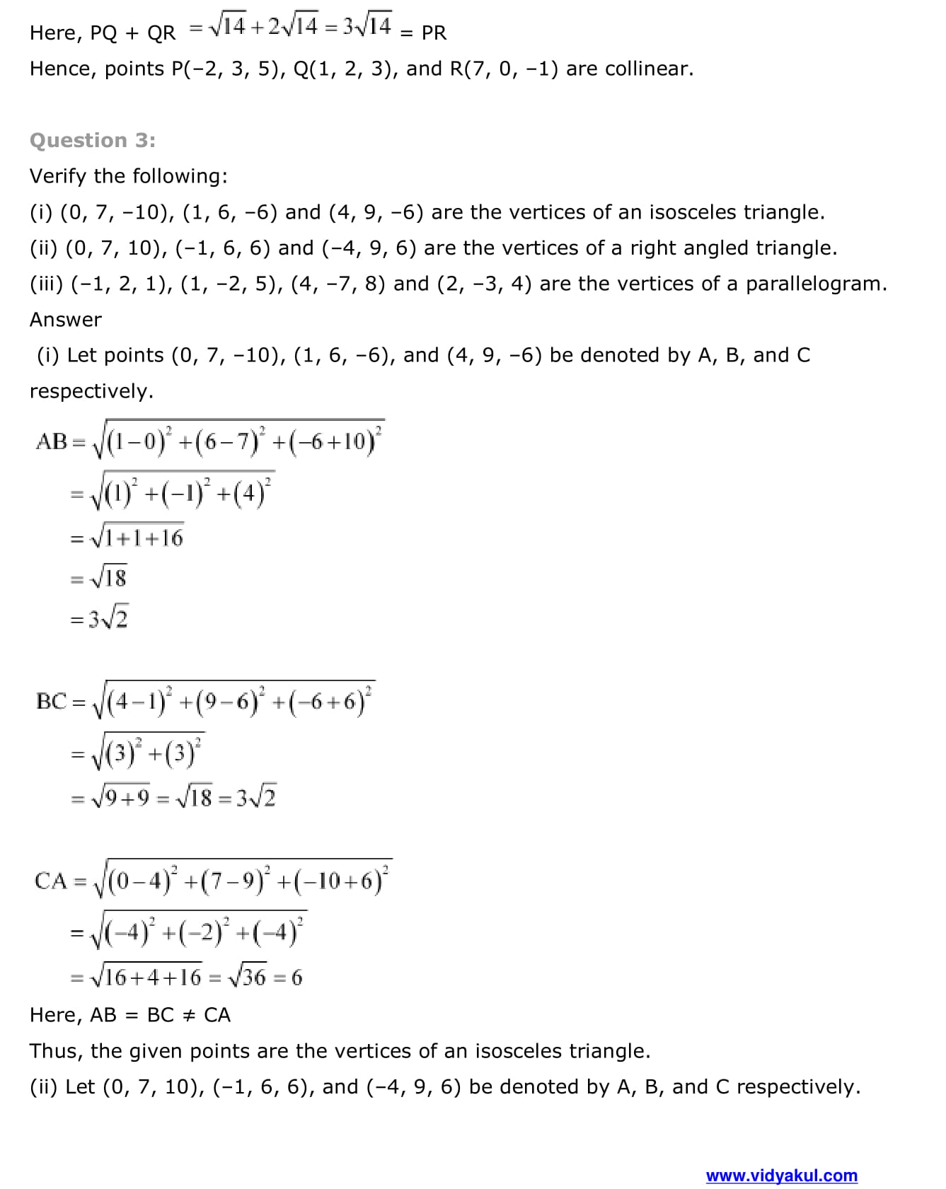
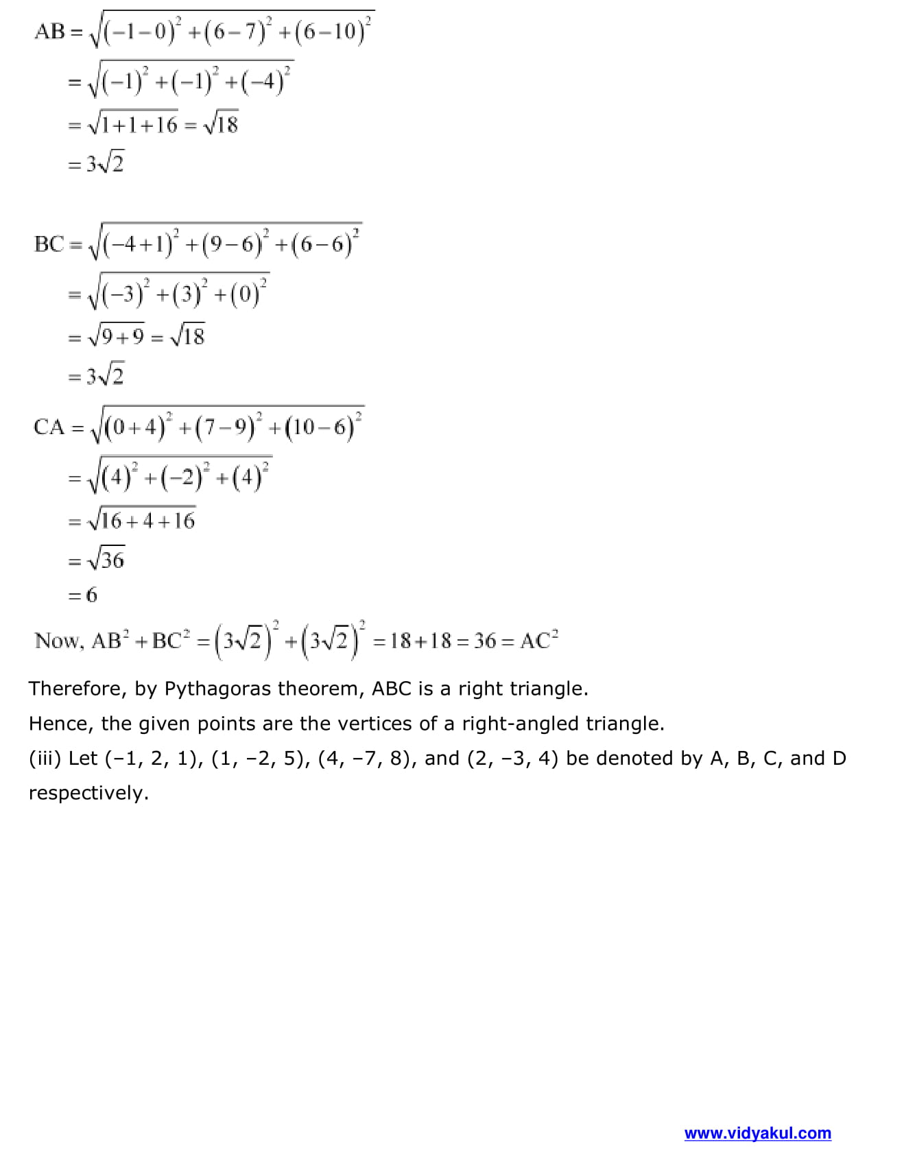
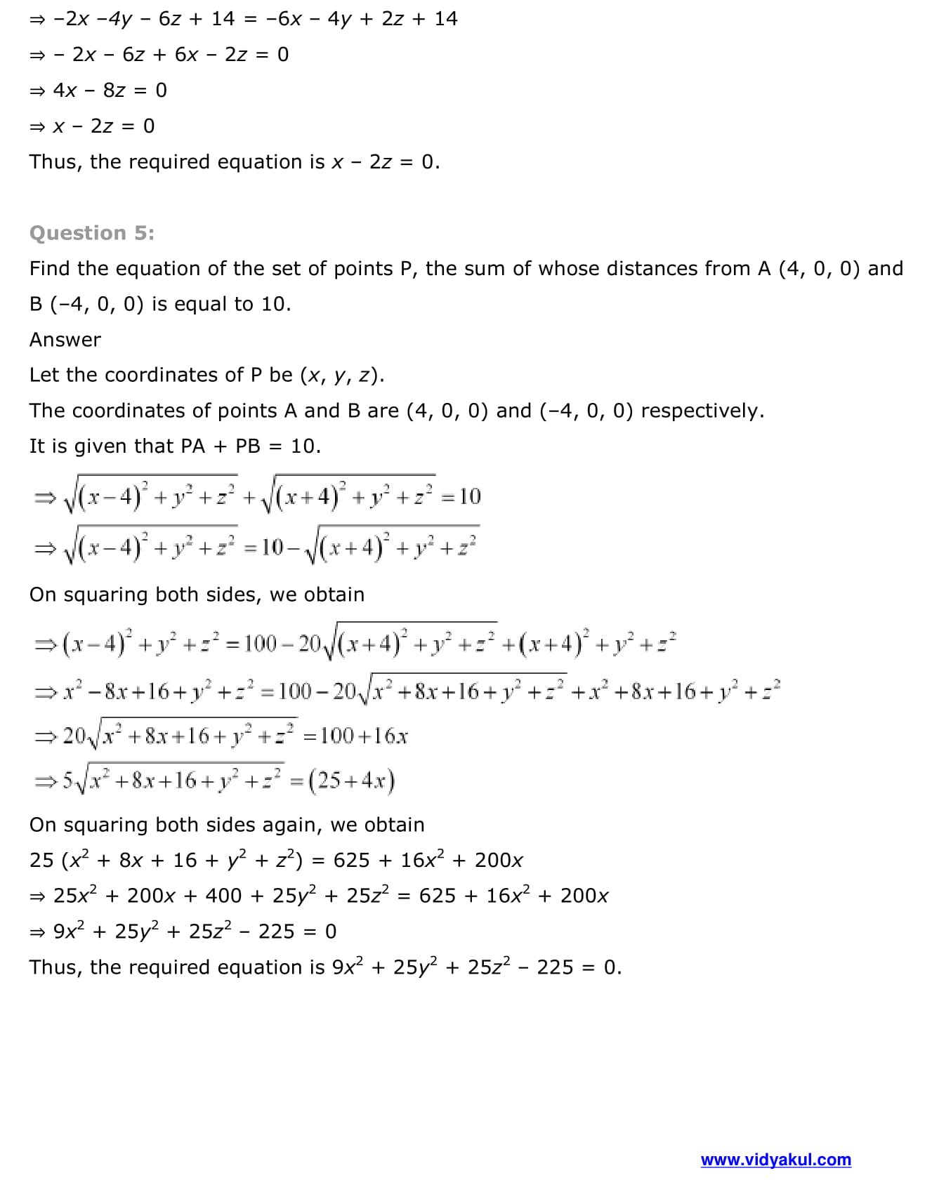
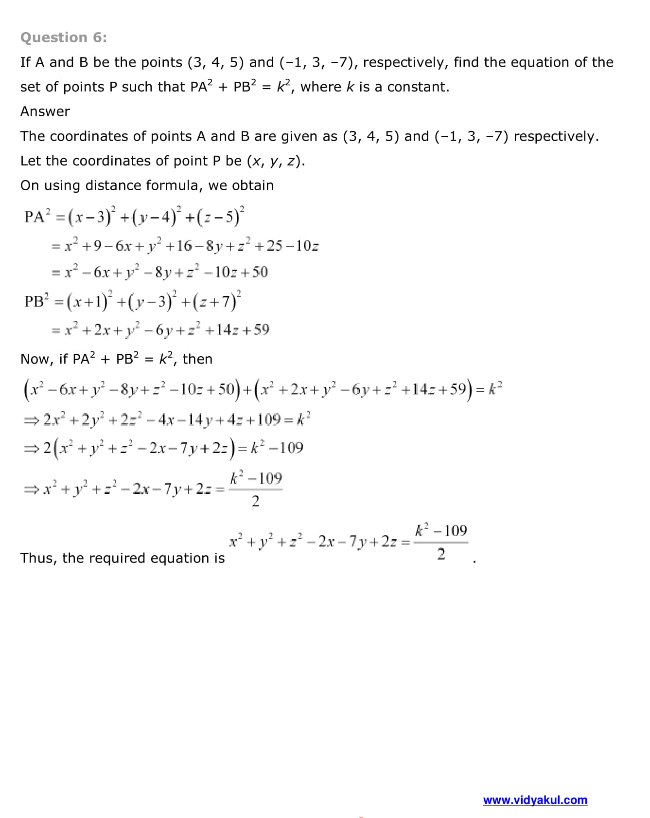
NCERT Solutions Class 11 Maths Chapter 12
NCERT Solutions for Class 11 Maths Chapter 12 Three Dimensional Geometry - PDF Download
Get reliable and simplified solution for NCERT exercises with Class 11 NCERT Solutions Mathematics Chapter 12
Introduction to Three Dimensional Geometry by Vidyakul’s expert teachers. The solutions are available in PDF format which is downloadable free of cost.
The main topics under Chapter 12 Introduction to Three Dimensional Geometry NCERT are as follows:
- Introduction
- Coordinate Axes and Coordinate Planes in Three Dimensional Space
- Coordinates of a Point in Space
- Distance between Two Points
- Section Formula
For free PDFs download click the link given below
Download this solution for FREE Download this PDF
















