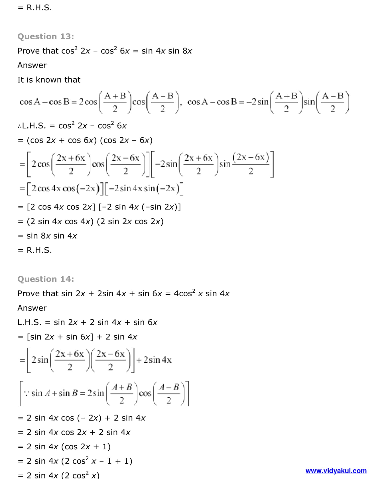
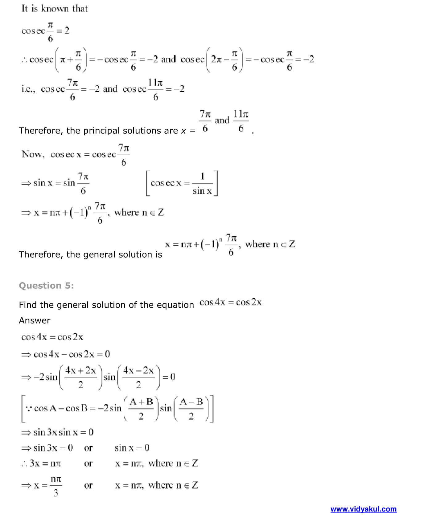
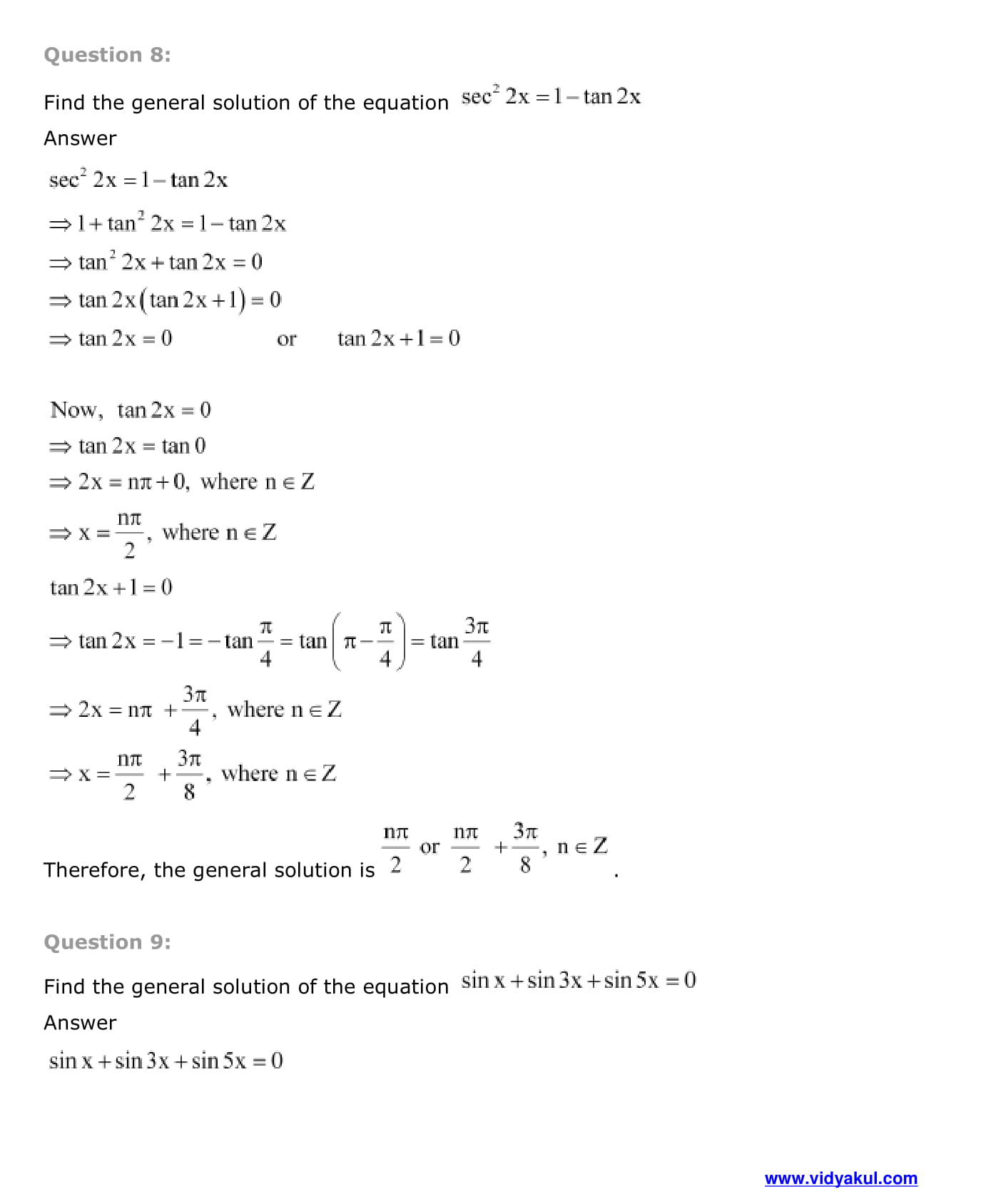
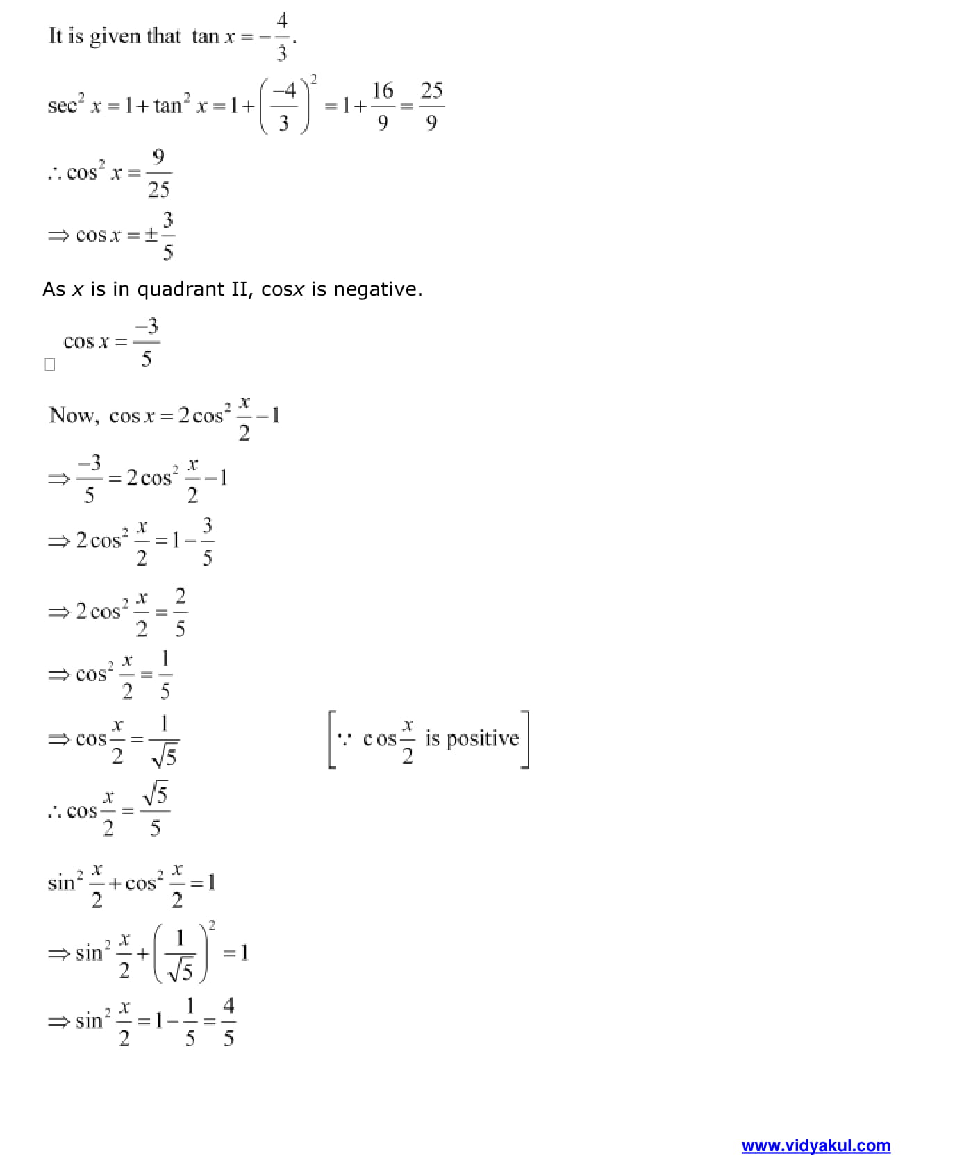
NCERT Solutions Class 11 Maths Chapter 3
NCERT Solutions for Class 11 Maths Chapter 3 Trigonometric Functions - PDF Download
Simplify the complex Chapters like Trigonometric Functions with Vidyakul’s NCERT Solutions for Class 11 Chapter 3 Trignometric Functions.
Find the solutions to all the NCERT exercises at one place provided by our experts at Vidyakul.
The main topics covered in Chapter 3 Trigonometric Functions are as follows:
- Angles
- Degree measure
- Radian measure
- Relation between radian and real numbers
- Relation between degree and radian
- Trigonometric Functions
- Sign of trigonometric functions
- Domain and range of trigonometric functions
- Trigonometric Functions of Sum and Difference of Two Angles
- Trigonometric Equations.
Follow the link given below to download free PDFs.
Download this solution for FREE Download this PDF











































