NCERT Solutions Class 11 Physics Chapter 2
NCERT Solutions for Class 11 Physics Chapter 2 Units and Measurement - PDF Download
Get 100 percent accurate NCERT Solutions for Class 11 Physics Chapter 2 Units and Measurement solved by expert Physics teachers. We provide solutions for questions given in Class 11 Physics text-book as per CBSE Board guidelines from the latest NCERT book for Class 11 Physics. The topics and sub-topics in Chapter 2 Units and Measurement
Grow your grip stronger on Physics with Vidyakul’s NCERT Solutions for Class 11 Physics Chapter -2 (Units and Measurement). The solutions are provided for each and every question given in Class 11 Physics NCERT. Get the most updated information in accordance with the latest CBSE guidelines.
The major contents covered in Chapter 2 Units and Measurement are as follow: -
2.1 Introduction
2.2 The international system of units
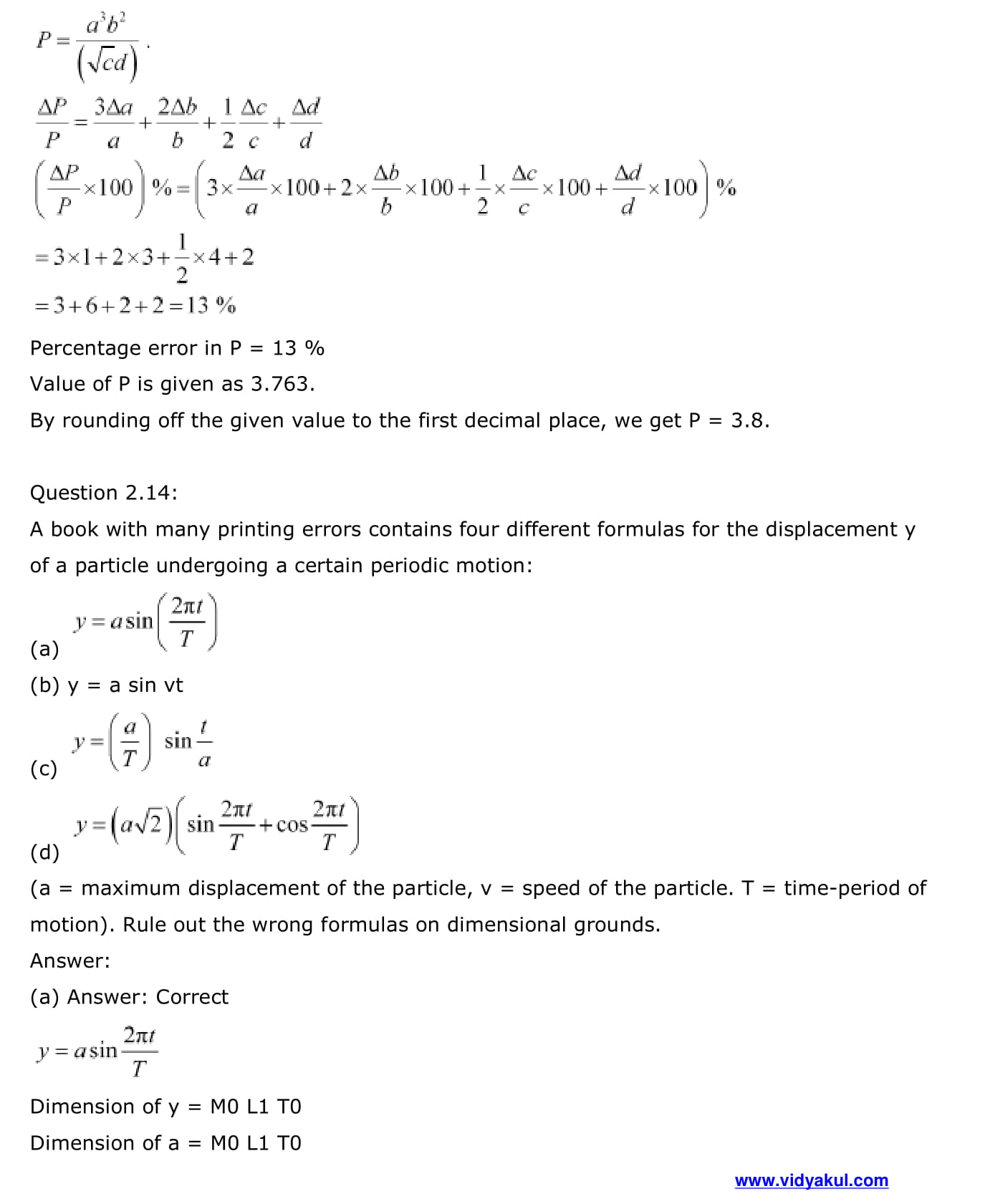
2.3 Measurement of length
2.4 Measurement of mass
2.5 Measurement of time
2.6 Accuracy, precision of instruments and errors in measurement
2.7 Significant figures
2.8 Dimensions of physical quantities
2.9 Dimensional formulae and dimensional equations
2.10 Dimensional analysis and its applications.
All those quantities which can be measured directly or indirectly and in terms of which the laws of physics can be expressed are called physical quantities.
- Fundamental quantities
- Derived quantities.
The units of the fundamental quantities are called fundamental units, and the units of derived quantities are known as derived units. For further learning in detail download the free PDF of Chapter 2 Units and Measurements.
Download this solution for FREE Download this PDF
























