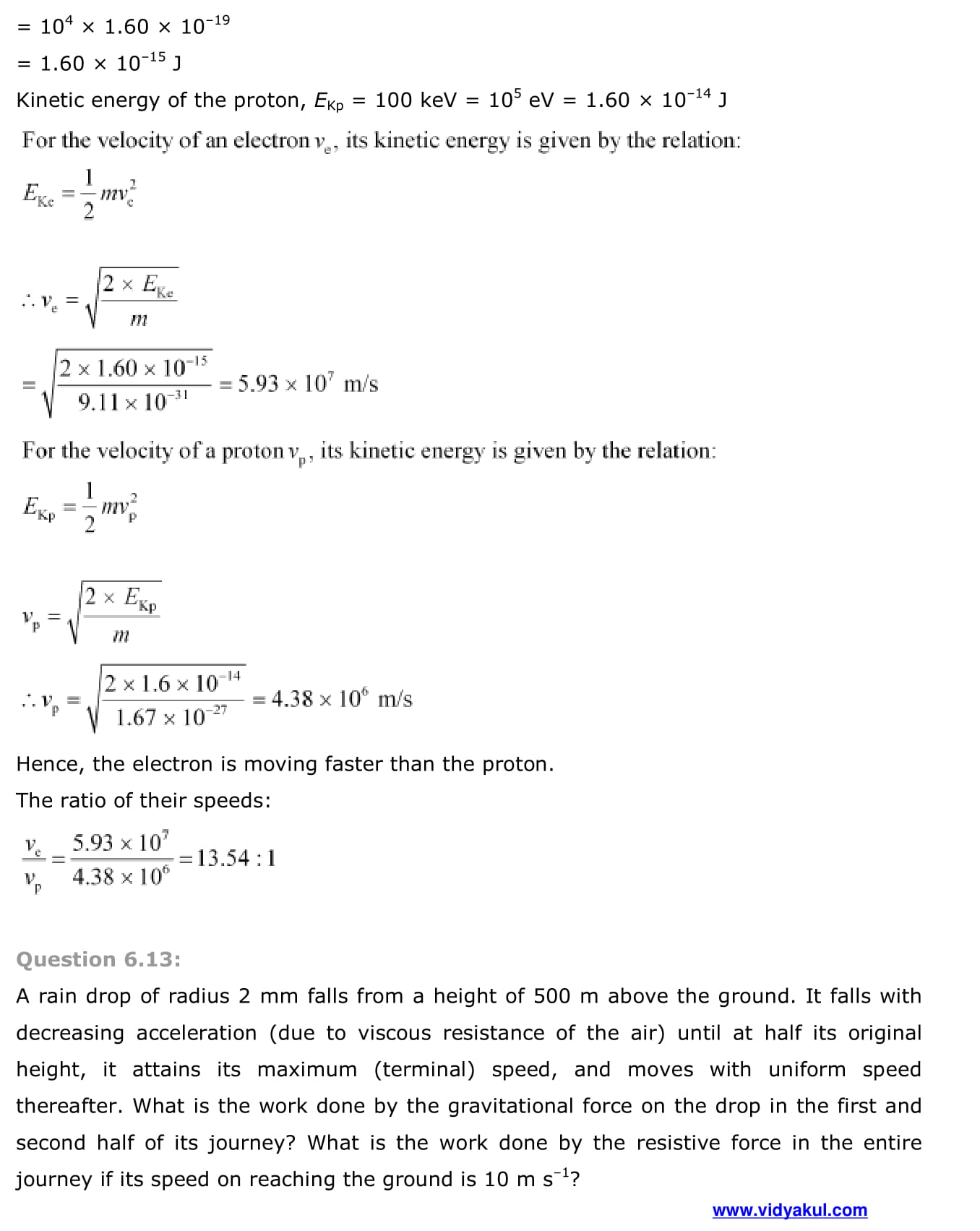
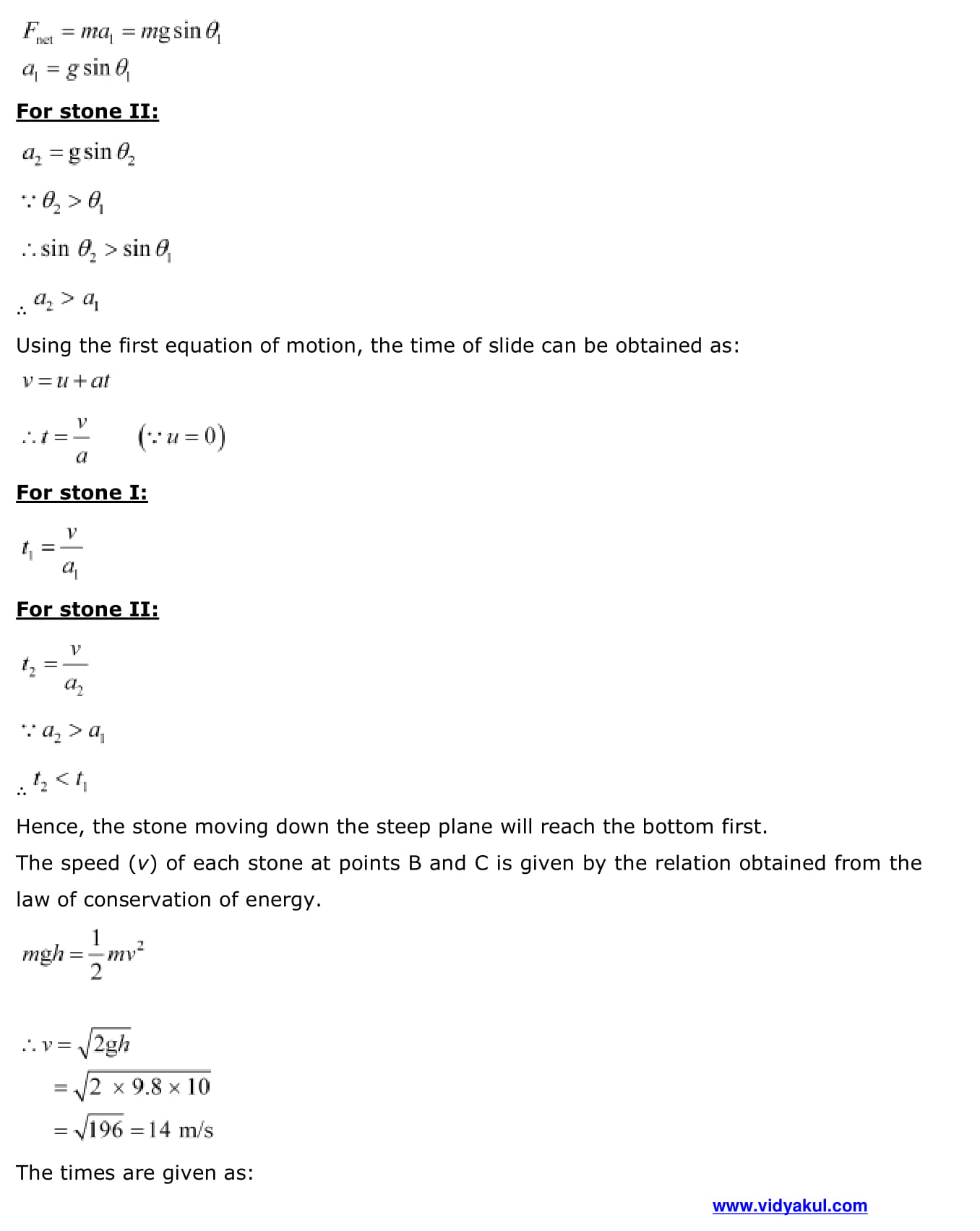
NCERT Solutions Class 11 Physics Chapter 6
NCERT Solutions for Class 11 Physics Chapter 6 Work, Energy and Power - PDF Download
Get set for your success in upcoming CBSE Exams with Vidyakul’s NCERT Solution for Class 11 Physic Chapter 6 Work, Energy and Power. Free PDF downloads are available for the students to clarify their doubts regarding Chapter 6 Work, Energy and Power.
The NCERT Solution For Class 11 Physic Chapter 6 Work, Energy and Power covers all the sub-topics namely notions of work and kinetic energy, work, kinetic energy, work done by a variable force, Power, Collision, the concept of potential energy, mechanical energy, various forms of energy and power.
Follow the link given below to download the PDF free of cost.
Download this solution for FREE Dowload this PDF






























